在网格划分的时候,右键Mesh→Insert→Node Merge Group,在details of Node Merge Group中将Tolerance Value设置为0.1mm(我们建模草绘的时候,线与线的端点之间距离为0,所以此处我们设置一个较小的值),然后右键Mesh Edit→Generate。Node Merge Group的原理是:网格划分完以后,对在公差范围内的节点进行合并,从而保证节点连续。更新完成以后,信息栏中会提示总共合并了多少节点。


使用这种方法求出来的结果,与上一篇文章中求出来的结果完全一致,读者可自行验证。
今天,我们继续研究下一节——应力·拉(压)杆内的应力。
我们知道,应力是判断结构性能的一个重要指标,在结构设计中,应力的正确计算是极其重要的。下面,我们通过例题2-3,来研究该题的材料力学解法和ANSYS解法。

一.材料力学解法:
我们首先对该结构进行受力分析,假想用一直径平面将该圆环切开,受力图如下:

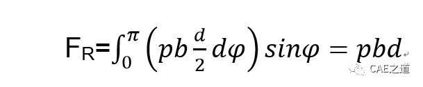
根据平衡方程,半环上内压力的合力FR=2*FN。

所以,FR=pbd/2此时,我们引入一个假设:当圆环的壁厚δ与内直径d有如下关系:δ/d≤1/20,可以认为径向截面上的正应力是均匀分布的。
依据上述假设,可得径向截面上的正应力:σ=FN/A=pbd/2bδ=40MPa
二.ANSYS解法:
首先,我们引入两个概念:平面应力和平面应变。
1.平面应力:
如下图,对于很薄的等厚薄板,只在边上受有平行于板面且不沿厚度变化的面力或约束;同时,体力也平行于板面且不沿厚度变化。设薄板的中面在xy平面内,z轴垂直于中面,则在整个薄板上,都有:σz=0,τzx=0,τzy=0
根据切应力互等定理:τxz=0,τyz=0
此时,只剩下平行于xy面的三个应力分量:σx,σy,τxy=τyx
又因为板很薄,可以认为这三个应力分量是不沿板厚变化的,它们只是x,y的函数。
这就是平面应力问题。
2.平面应变:
如下图,对于很长的柱形体,横截面不沿长度变化。在柱面上受有平行于横截面且不沿长度不变化的面力或约束,同时,体力也平行于横截面且不沿长度变化。
假设该柱体无线长,以任意横截面为xy面,任意纵线为z轴,则所有一切应力分量、应变分量、位移分量都不沿z方向变化,只是x和y的函数。由于对称,所有各点都只会沿x和y方向移动,不会有z方向的位移,所以w=0,εz=0。
由对称条件,可知 τzx=0,τzy=0
根据切应力互等定理:τxz=0,τyz=0
由胡克定律:γzx=γzy=0
由于z方向的伸缩被阻止,所以σz一般并不等于0。
此时,只剩下平行于xy面的三个应变分量:εx,εy,γxy
这就是平面应变问题。

说明:
1.平面应力和平面应变问题的区别:平面应力: εz≠0 ,轴向远小于横向;平面应变: σz≠0,横向远小于轴向。
2. 平面问题的求解体系:8 个未知数,必须建立8 个相互独立的方程才能得以求解。
3. 平面问题方程来源:
a. 平衡微分方程:建立应力和力之间的关系,总共3个,力矩平衡方程推出切应力互等,所以还剩x,y方向力的平衡方程;
b. 几何方程:建立应变与位移之间的关系,总共3个;
c. 物理方程:建立应力与应变之间的关系,总共3个。
以上只是对平面问题简单的论述,若读者想深入学习,可参阅徐芝纶教授编著的《弹性力学》第5版。
使用ANSYS求解该问题时,我们从以下几个方面入手:
1.确定分析类型:根据例题所示结构,确定分析类型为静力学分析;
2.通过对例题结构进行分析,可知该结构符合平面应变问题;计算时可选择任意横截面,使用平面单元进行计算;
3.该横截面同时关于x轴和y轴对称,计算时可使用四分之一结构计算。
Step1:在SCDM中创建平面模型。
由于我们使用平面应变模型计算,所以建模时必须要将横截面建立在xy平面上。根据题目中给的几何尺寸,在xy平面上建立一个四分之一的圆环面。草绘完成后,点击顶部的Pull或者底部Return to 3D mode,然后按ESC键,将草绘转化成面。建立完成以后,点击菜单栏Workbench→ANSYS transfer→2020R1进入Workbench。
Step2:设置分析类型(2D)。
在Project Schematic中的空白处点击右键,选择Properties,打开Properties of Project Schematic。单击项目中的A2(Geometry)栏,在Propertiesof Project Schematic A2: Geometry中将AnalysisType切换为2D。(若Analysis Type为3D,则导入平面几何后软件将使用壳单元计算。)

Step3:创建分析流程。
将StaticStructural拖入Project Schematic,并与刚才导入的几何建立联系。双击Model进入Mechanical。

Step4:几何设置。
在结构树中点击Geometry,将Details of Geometry中的2D Behavior切换成Plane Strain(平面应变)。

Step5:网格划分。
为了得到更加精确的结果,笔者在圆环的厚度方向布置了5个网格,将网格尺寸设置为1mm。为了使网格全部为四边形,笔者在网格划分时设置了Face Meshing。
Step6:载荷及约束设置。
1.载荷:薄壁圆环内壁施加2MPa的压力。(施加Pressure时,正值代表压缩,负值代表拉伸)
2.约束:由于我们使用的是四分之一模型,所以我们在对称边界上使用Frictionless Support。为了让读者看着清楚,笔者在每个对称边界上都施加了Frictionless Support,这样有个好处,就是能在后处理的时候查看每个对称边界上的支反力。简单一点的话,可以选中两个对称边界,施加一个Frictionless Support也可以。

Step7:求解及后处理。
题目让我们求圆环径向截面(即对称边界)上的拉应力,后处理时,我们可以选择单独输出对称边界上的结果。我们单击Solution,在Results中选择Stress→Normal Stress,并在Details of Normal Stress将Geometry选为对称边界的一个边,将Orientation设置为Y轴。然后提取结果。



通过计算结果发现:
1.圆环径向横截面上的正应力最大值为41.024MPa,最小值为39.024MPa,平均值为40.024MPa,与材料力学计算结果基本相同。
2.圆环径向截面上的正应力沿壁厚不是均匀分布的,而是呈线性分布。但最大值和最小值相差很小,可以认为是均匀分布。
3.求解时将三维空间问题转化为二维平面问题,用二维坐标系研究三维问题,在保证计算结果的前提下,大大缩短了计算时间,提高了计算效率。
至此,该例题求解完毕。
免责声明:本文系网络转载或改编,未找到原创作者,版权归原作者所有。如涉及版权,请联系删
武汉格发信息技术有限公司,格发许可优化管理系统可以帮你评估贵公司软件许可的真实需求,再低成本合规性管理软件许可,帮助贵司提高软件投资回报率,为软件采购、使用提供科学决策依据。支持的软件有: CAD,CAE,PDM,PLM,Catia,Ugnx, AutoCAD, Pro/E, Solidworks ,Hyperworks, Protel,CAXA,OpenWorks LandMark,MATLAB,Enovia,Winchill,TeamCenter,MathCAD,Ansys, Abaqus,ls-dyna, Fluent, MSC,Bentley,License,UG,ug,catia,Dassault Systèmes,AutoDesk,Altair,autocad,PTC,SolidWorks,Ansys,Siemens PLM Software,Paradigm,Mathworks,Borland,AVEVA,ESRI,hP,Solibri,Progman,Leica,Cadence,IBM,SIMULIA,Citrix,Sybase,Schlumberger,MSC Products...