(原创,转载请注明出处)
![有限元理论基础及Abaqus内部实现方式研究系列29: 几何非线性的T.L.和U.L.转换关系的图1]()
1 概述
本系列文章研究成熟的有限元理论基础及在商用有限元软件的实现方式,通过
(1) 基础理论
(2) 商软操作
(3) 自编程序
三者结合的方式将复杂繁琐的结构有限元理论通过简单直观的方式展现出来,同时深层次的学习有限元理论和商业软件的内部实现原理。
有限元的理论发展了几十年已经相当成熟,商用有限元软件同样也是采用这些成熟的有限元理论,只是在实际应用过程中,商用CAE软件在传统的理论基础上会做相应的修正以解决工程中遇到的不同问题,且各家软件的修正方法都不一样,每个主流商用软件手册中都会注明各个单元的理论采用了哪种理论公式,但都只是提一下用什么方法修正,很多没有具体的实现公式。商用软件对外就是一个黑盒子,除了开发人员,使用人员只能在黑盒子外猜测内部实现方式。

一方面我们查阅各个主流商用软件的理论手册并通过进行大量的资料查阅猜测内部修正方法,另一方面我们自己编程实现结构有限元求解器,通过自研求解器和商软的结果比较来验证我们的猜测,如同管中窥豹一般来研究的修正方法,从而猜测商用有限元软件的内部计算方法。我们关注CAE中的结构有限元,所以主要选择了商用结构有限元软件中文档相对较完备的Abaqus来研究内部实现方式,同时对某些问题也会涉及其它的Nastran/Ansys等商软。为了理解方便有很多问题在数学上其实并不严谨,同时由于水平有限可能有许多的理论错误,欢迎交流讨论,也期待有更多的合作机会。
通用结构有限元求解器iSolver介绍视频:
.gif)
http://www.jishulink.com/college/video/c12884
==第29篇:几何非线性的T.L.和U.L.转换关系==
最近很多人问我们T.L.和U.L是否都可以用于几何大变形问题,我们理解应该都可以,因为虽然公式不同,但他们所用的物理量是可以相互转换的,最终还是表达的同一套物理含义。本章将就最基本的应变介绍一下他们的转换关系的理论,同时采用Abaqus的一个简单的算例来验证他们的转换关系。
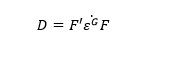
无论是T.L.还是U.L.,同一个物理量只是表达式不同,但在同一时刻下的数值肯定是一样的,应变能也不例外,所以:
.gif)
这个等式说明T.L.和U.L.是可以通过各自应力和应变量的转换而相互等价,最终都能得到正确解。区别在于选取的应变和应力度量和试验怎么方便的对应,有限元中应变度量本身就是人为选取的,由位移总能得到各种应变的度量结果,具体可看前面系列文章18:几何非线性的应变。但材料的各种试验参数是真实的,必须通过试验得到,而试验中可测的量是有限的,有限元计算的应变等人为度量量最终还是要和试验对比,从这方面考虑也是Abaqus内部主要采用U.L.的原因。
.gif)
1.1 T.L.和U.L.的物理量的转换关系理论
T.L.和U.L.的转换关系主要包括三个物理量的转换:
1.1.1 应变的转换
(1)T.L.采用的应变是Green应变。
(2)U.L.中,在本系列文章27:Abaqus内部计算和显示的应变中,我们提到了Abaqus大变形下后处理显示的都是真实应变,但实际计算时采用了对数应变和变形率积分两种应变度量方式,而对数应变和T.L.中的Green应变没有直接关系,只有变形率积分度量方式和Green应变有直接关系。变形率积分应变和Green应变的关系如下:
.gif)
1.1.2 应力的转换
(1) 在T.L.中,与Green应变形成功共轭关系的是2nd PK力S。
(2) U.L.中,与变形率积分的应变度量形成功共轭关系的是真实应力,也就是Cauchy力。它们的关系如下:
.gif)
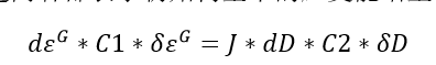
1.1.3 本构关系的转换
(1)T.L.中,虚功原理需要对应变能求导。
.gif)
前面部分可以展开成应力应变关系矩阵和应变增量的积,对次弹性材料:
.gif)
(2)U.L.中,同样,对应变能求导后,前面部分可以展开成应力应变关系矩阵和应变增量的积,且相对初始构型,对次弹性材料:
在初始构型下,上述两者都表示初始构型下的应变能增量,那么得到
.gif)
将应变的关系表达式代入,同时约去应变的导数,得到本构关系的转换如下,显然与变形梯度F有关:
.gif)
1.2 验证模型选取原则
为了验证T.L.和U.L.的等价转换,我们需要在软件或者编程中分别按两种描述实现同一个物理模型,理论上按照上面的三个物理量的转换,就能将T.L.描述完全转换为U.L.描述,但在Abaqus中,并不是能直接找到同一物理对象的两种描述方法,我们的选取原则如下:
(1)对T.L.描述,在本系列文章19:Abaqus几何非线性的设置和后台中,我们提到了Abaqus中只有梁壳模型由小应变单元,此时虚功原理为T.L.描述方式。所以我们采用壳单元研究T.L.的结果。
(2)对U.L.描述,Abaqus中体和壳采用的应变分别是变形率积分和真实应变,由前所述,我们仅研究体单元的U.L.结果。
(3)在T.L.中我们采用最简单的线弹性材料来描述本构关系,正常来说,在U.L.中也应该采用上面2.1.3对应的U.L.的线弹性本构关系,可惜的很,这种线弹性关系在Abaqus中自带材料不存在。Abaqus在几何非线性的U.L.描述中,对次弹性材料,Abaqus认为塑性大变形,弹性小变形,此时Abaqus采用的本构关系矩阵和小应变的完全一样,也就是与变形梯度F无关,而不是2.1.3对应的本构关系。因此,我们只能采用UMAT自定义材料来设置U.L.的线弹性本构关系。我们将在UMAT中实现St.Venant-Kirchhoff材料本构模型,此模型下,U.L.的C2矩阵可以用B=F*F’简单的表示为:
.gif)
同时,由于Abaqus自带的Fortran编写复杂,我们在iSolver中采用Matlab的UMAT实现St.Venant-Kirchhoff材料。
1.3 Abaqus和iSolver的算例证明
1.3.1 模型描述
取一个长方体,参数如下:
尺寸:5X1X0.1
材料:Young’s Modulus 200, Poisson Ratio 0。
所有节点的yz方向约束,同时左侧节点固支。
右侧节点只有x方向加力,力的合力为5。
1.3.2 T.L.描述
采用壳单元建模,划分为一个单元:
.gif)
打开几何非线性,且用S4R5单元:
.gif)
材料为Abaqus自带材料:
.gif)
右端加集中载荷2.5,Abaqus计算得到最终的位移为9.575e-1:
.gif)
1.3.3 U.L.描述
采用体单元建模,划分为一个单元:
.gif)
打开几何非线性,且用C3D8R单元。
材料为UMAT自定义材料,在CAE中设置两个参数200和0,在iSolver的UMAT.m中实现St.Venant-Kirchhoff材料。
.gif)
.gif)
右端加集中载荷1.25(合力还是1),调用iSolver计算得到最终的位移为9.617e-1,和T.L.的结果误差为0.44%,基本一致。
.gif)
1.4 视频讲解和操作验证演示
如果觉得上面的文字太复杂,也可以看一下视频的简要讲解,包括基于Abaqus和iSolver的操作验证,地址如下:
https://www.jishulink.com/college/video/c12884 20理论系列文章29-几何非线性的T.L.和U.L.转换关系
.gif)
==总结==
至此,我们可以说只要三个物理量实现转换,整个T.L.的结果就和U.L.的结果完全一致。而如果其中有一项没实现转换,那么结果可能完全不一致,譬如U.L.中没有将本构关系转换,而依然采用弹性的本构关系,也就是采用Abaqus自带的弹性材料,得到U=1.427,和T.L.的结果有很大差异:
.gif)
如果有任何其它疑问或者项目合作意向,也欢迎联系我们:
snowwave02 From www.jishulink.com
email: snowwave02@qq.com
以往的系列文章:
![有限元理论基础及Abaqus内部实现方式研究系列29: 几何非线性的T.L.和U.L.转换关系的图49]()
1.6.1 ========第一阶段========
第一篇:S4壳单元刚度矩阵研究。
http://www.jishulink.com/content/post/338859
第二篇:S4壳单元质量矩阵研究。
http://www.jishulink.com/content/post/343905
第三篇:S4壳单元的剪切自锁和沙漏控制。
http://www.jishulink.com/content/post/350865
第四篇:非线性问题的求解。
http://www.jishulink.com/content/post/360565
第五篇:单元正确性验证。
https://www.jishulink.com/content/post/373743
第六篇:General梁单元的刚度矩阵。
https://www.jishulink.com/content/post/403932
第七篇:C3D8六面体单元的刚度矩阵。
https://www.jishulink.com/content/post/430177
第八篇:UMAT用户子程序开发步骤。
https://www.jishulink.com/content/post/432848
第九篇:编写线性UMAT Step By Step。
http://www.jishulink.com/content/post/440874
第十篇:耦合约束(Coupling constraints)的研究。
https://www.jishulink.com/content/post/531029
![有限元理论基础及Abaqus内部实现方式研究系列29: 几何非线性的T.L.和U.L.转换关系的图51]()
1.6.2 ========第二阶段========
第十一篇:自主CAE开发实战经验第一阶段总结。
http://www.jishulink.com/content/post/532475
第十二篇:几何梁单元的刚度矩阵。
http://www.jishulink.com/content/post/534362
第十三篇:显式和隐式的区别。
http://www.jishulink.com/content/post/537154
第十四篇:壳的应力方向。
https://www.jishulink.com/content/post/1189260
第十五篇:壳的剪切应力。
https://www.jishulink.com/content/post/1191641
第十六篇:Part、Instance与Assembly。
https://www.jishulink.com/content/post/1195061
第十七篇:几何非线性的物理含义。
https://www.jishulink.com/content/post/1198459
第十八篇:几何非线性的应变。
https://www.jishulink.com/content/post/1201375
第十九篇:Abaqus几何非线性的设置和后台。
http://www.jishulink.com/content/post/1203064
第二十篇:UEL用户子程序开发步骤。
https://www.jishulink.com/content/post/1204261
![有限元理论基础及Abaqus内部实现方式研究系列29: 几何非线性的T.L.和U.L.转换关系的图53]()
1.6.3 ========第三阶段========
第二十一篇:自主CAE开发实战经验第二阶段总结。
https://www.jishulink.com/content/post/1204970
第二十二篇:几何非线性的刚度矩阵求解。
http://www.jishulink.com/content/post/1254435
第二十三篇:编写简单面内拉伸问题UEL Step By Step。
http://www.jishulink.com/content/post/1256835
第二十四篇:显式求解Step By Step。
https://www.jishulink.com/content/post/1261165
第二十五篇:显式分析的稳定时间增量。
http://www.jishulink.com/content/post/1263601
第二十六篇:编写线性VUMAT Step By Step。
https://www.jishulink.com/content/post/1266640
第二十七篇:Abaqus内部计算和显示的应变。
https://www.jishulink.com/content/post/1273788
第二十八篇:几何非线性的T.L.和U.L.描述方法