许可优化
许可优化
产品
产品
解决方案
解决方案
服务支持
服务支持
关于
关于
软件库
当前位置:服务支持 >  软件文章 >  [案例分析]STARCCM+入门系列之——固体颗粒侵蚀分析

[案例分析]STARCCM+入门系列之——固体颗粒侵蚀分析

阅读数 1102
点赞 0
article_banner

1、问题描述本案例演示如何在 STAR-CCM+ 中创建侵蚀建模分析。本案例中使用的几何的最初设计是在侵蚀性作业环境下使用的阻流阀的减压装置,模型如下:[案例分析]STARCCM+入门系列之——固体颗粒侵蚀分析的图12、STAR-CCM+设置

不仅要考虑湍流连续相,而且还要考虑连续相中的颗粒运动,因此需要数个模型。为了模拟这些相,STAR-CCM+部署了两种不同的策略。连续的液相使用欧拉公式建模,其中的流体属性通过在整个流体域中分布的固定点获取。颗粒相使用拉格朗日方法建模,在整个连续相上跟踪其中的代表性颗粒的轨迹。

(1)选择连续相物理模型;流体是湍流且不可以压缩。使用K-Omega 湍流,拉格朗日多相模型用于构建离散相模型。物理模型的选择如下:


[案例分析]STARCCM+入门系列之——固体颗粒侵蚀分析的图2
      (2)选择拉格朗日相模型;创建拉格朗日相,并选择适当的相模型。这些模型代表拉格朗日相的特征。右键单击Models >Lagrangian Multiphase > Lagrangian Phases选项,选择新建一个相,给拉格朗日相选择相应的物理模型,特别注意要选择侵蚀模型,如下:
[案例分析]STARCCM+入门系列之——固体颗粒侵蚀分析的图3
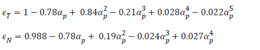
       (3)创建复原系数的场函数;创建表示复原系数的场函数。复原系数用以预测颗粒弹离固体壁面的角度。本案例中,使用以下关系式:
[案例分析]STARCCM+入门系列之——固体颗粒侵蚀分析的图4

式中的变量用预定义的系统场函数来表示颗粒入射角,然后根据上面的公式定义出切向复原系数和法向复原系数。

(4)定义拉格朗日相边界条件;点击Physics 1 > Models> Lagrangian Multiphase > Lagrangian Phases > Phase 1 > Boundary Conditions> Wall,设置以下属性:

[案例分析]STARCCM+入门系列之——固体颗粒侵蚀分析的图5

(5)设置侵蚀模型;在使用CFD 方法创建侵蚀模型时,选择的侵蚀模型必须匹配正在遭受侵蚀的材料以及侵蚀发生的条件。在本教程中,最先使用奥卡模型,然后使用其他用户定义的模型做比较。STAR-CCM+中对Oka模型设置的默认系数适用于碳钢的砂侵蚀。点击Continua> Physics 1 > Models > Lagrangian Multiphase > Lagrangian Phases> Phase 1 >Boundary Conditions > Wall > Physics Values节点,把ImpactWear方法设置为Oka;

(6)设置连续相边界条件;点击Regions> Fluid > Boundaries > Inflow节点,把属性设置如下:

[案例分析]STARCCM+入门系列之——固体颗粒侵蚀分析的图6[案例分析]STARCCM+入门系列之——固体颗粒侵蚀分析的图7
      (7)设置喷射器;创建基于显示方格的新的衍生零部件来定义喷射点,因为这可以改善颗粒在整个管截面上的分布情况。右键选择Derived Parts,选择New Part > Probe > Presentation Grid。Presentation Grid的属性设置如下:
[案例分析]STARCCM+入门系列之——固体颗粒侵蚀分析的图8
右键选择Injectors,新建喷射器,将喷射器的类型设置为部件喷射,相应的部件选择Presentation Grid,相应的拉格朗日相选择相1。新建的喷射器属性设置如下:
[案例分析]STARCCM+入门系列之——固体颗粒侵蚀分析的图9

(8)由于本案例是稳态模拟,最大迭代次数设置为1000

(9)运行模拟;计算结果如下:

[案例分析]STARCCM+入门系列之——固体颗粒侵蚀分析的图10                                                             管道内的压力场

[案例分析]STARCCM+入门系列之——固体颗粒侵蚀分析的图11                                                                  侵蚀率

  • 本文转自有限猿仿真博客,感谢原作者。如有侵权请立即联系删除。


免责声明:本文系网络转载或改编,未找到原创作者,版权归原作者所有。如涉及版权,请联系删

武汉格发信息技术有限公司,格发许可优化管理系统可以帮你评估贵公司软件许可的真实需求,再低成本合规性管理软件许可,帮助贵司提高软件投资回报率,为软件采购、使用提供科学决策依据。支持的软件有: CAD,CAE,PDM,PLM,Catia,Ugnx, AutoCAD, Pro/E, Solidworks ,Hyperworks, Protel,CAXA,OpenWorks LandMark,MATLAB,Enovia,Winchill,TeamCenter,MathCAD,Ansys, Abaqus,ls-dyna, Fluent, MSC,Bentley,License,UG,ug,catia,Dassault Systèmes,AutoDesk,Altair,autocad,PTC,SolidWorks,Ansys,Siemens PLM Software,Paradigm,Mathworks,Borland,AVEVA,ESRI,hP,Solibri,Progman,Leica,Cadence,IBM,SIMULIA,Citrix,Sybase,Schlumberger,MSC Products...

相关文章
技术文档
QR Code
微信扫一扫,欢迎咨询~
customer

online

联系我们
武汉格发信息技术有限公司
湖北省武汉市经开区科技园西路6号103孵化器
电话:155-2731-8020 座机:027-59821821
邮件:tanzw@gofarlic.com
Copyright © 2023 Gofarsoft Co.,Ltd. 保留所有权利
遇到许可问题?该如何解决!?
评估许可证实际采购量? 
不清楚软件许可证使用数据? 
收到软件厂商律师函!?  
想要少购买点许可证,节省费用? 
收到软件厂商侵权通告!?  
有正版license,但许可证不够用,需要新购? 
联系方式 board-phone 155-2731-8020
close1
预留信息,一起解决您的问题
* 姓名:
* 手机:

* 公司名称:

姓名不为空

姓名不为空

姓名不为空
手机不正确

手机不正确

手机不正确
公司不为空

公司不为空

公司不为空