许可优化
许可优化
产品
产品
解决方案
解决方案
服务支持
服务支持
关于
关于
软件库
当前位置:服务支持 >  软件文章 >  [案例分析]STARCCM+入门系列之——边界变形的圆柱体

[案例分析]STARCCM+入门系列之——边界变形的圆柱体

阅读数 1274
点赞 0
article_banner

1、问题描述

STAR-CCM+ 包含一个变形运动模型,使您可使用多种方法定义边界表面上的运动。在本案例中,使用方格速度在简单圆柱体的外壁上施加运动。使圆柱体收缩。模型如下:

[案例分析]STARCCM+入门系列之——边界变形的圆柱体的图1

2、STAR-CCM+设置

(1)选择物理模型;使用 K-Epsilon 湍流模型和分离流求解器来求解瞬态雷诺平均纳维-斯托克斯方程。物理模型的选择如下:

[案例分析]STARCCM+入门系列之——边界变形的圆柱体的图2

(2)设置运动;在 STAR-CCM+ 中,使用运动管理器管理的运动对象来定义运动。要定义变形运动,必须创建一个变形运动对象,然后将其应用于发生变形的区域。右键单击Tools > Motionsnode 选择新建 Morphing,将会有一个Morphing节点出现在motion节点;选择 Regions >fluid> Physics Values > Motion Specification 节点,设置Motion 类型为Morphing。

[案例分析]STARCCM+入门系列之——边界变形的圆柱体的图3

(3)创建局部坐标系;通过径向方格速度定义圆柱体壁面运动。必须创建一个局部圆柱坐标系以定义径向速度,因为默认情况下不存在此坐标系。右键单击Tools > Coordinate Systems> Laboratory > Local Coordinate Systems节点,选择New > Cylindrical,接受默认设置,单击Create;

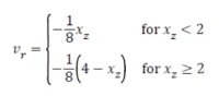
(4)为方格速度创建场函数;根据轴向位置,使用场函数在圆柱体壁面处设置径向速度。径向速度随轴向距离的变化如下图所示:

[案例分析]STARCCM+入门系列之——边界变形的圆柱体的图4
右键单击Tools > Field Functions节点,选择New > Vector,将径向速度的值赋予此场函数;并将其重命名为Cylinder Radial Velocity;

(5)设置边界条件和数值;选择Regions > Fluid > Boundaries > Inlet,设置以下属性:

[案例分析]STARCCM+入门系列之——边界变形的圆柱体的图5

边界平面约束将允许入口边界上的顶点在边界表面自身的平面内移动,但不能在正交方向上移动。

选择Regions> Fluid > Boundaries > Outlet节点,设置以下属性:

[案例分析]STARCCM+入门系列之——边界变形的圆柱体的图6

壁面边界将在模拟期间变形,其属性设置如下:

 

[案例分析]STARCCM+入门系列之——边界变形的圆柱体的图7

(6)由于本案例是瞬态模拟,因此需要设置时间步、各时间步内允许的最大内部迭代次数以及获得求解所用的总体物理时间。选择Solvers> Implicit Unsteady节点,然后将时间步设为0.02s。将最大物理时间设置为1s;

(7)运行模拟;计算结果如下:

[案例分析]STARCCM+入门系列之——边界变形的圆柱体的图8

圆柱体壁面变形

  • 本文转自有限猿仿真博客,感谢原作者。如有侵权请立即联系删除。


免责声明:本文系网络转载或改编,未找到原创作者,版权归原作者所有。如涉及版权,请联系删

武汉格发信息技术有限公司,格发许可优化管理系统可以帮你评估贵公司软件许可的真实需求,再低成本合规性管理软件许可,帮助贵司提高软件投资回报率,为软件采购、使用提供科学决策依据。支持的软件有: CAD,CAE,PDM,PLM,Catia,Ugnx, AutoCAD, Pro/E, Solidworks ,Hyperworks, Protel,CAXA,OpenWorks LandMark,MATLAB,Enovia,Winchill,TeamCenter,MathCAD,Ansys, Abaqus,ls-dyna, Fluent, MSC,Bentley,License,UG,ug,catia,Dassault Systèmes,AutoDesk,Altair,autocad,PTC,SolidWorks,Ansys,Siemens PLM Software,Paradigm,Mathworks,Borland,AVEVA,ESRI,hP,Solibri,Progman,Leica,Cadence,IBM,SIMULIA,Citrix,Sybase,Schlumberger,MSC Products...

相关文章
技术文档
QR Code
微信扫一扫,欢迎咨询~
customer

online

联系我们
武汉格发信息技术有限公司
湖北省武汉市经开区科技园西路6号103孵化器
电话:155-2731-8020 座机:027-59821821
邮件:tanzw@gofarlic.com
Copyright © 2023 Gofarsoft Co.,Ltd. 保留所有权利
遇到许可问题?该如何解决!?
评估许可证实际采购量? 
不清楚软件许可证使用数据? 
收到软件厂商律师函!?  
想要少购买点许可证,节省费用? 
收到软件厂商侵权通告!?  
有正版license,但许可证不够用,需要新购? 
联系方式 board-phone 155-2731-8020
close1
预留信息,一起解决您的问题
* 姓名:
* 手机:

* 公司名称:

姓名不为空

姓名不为空

姓名不为空
手机不正确

手机不正确

手机不正确
公司不为空

公司不为空

公司不为空