在本 实验 中,主要学习了多变量函数的定义以及图像绘制。
通过对范德瓦尔斯方程做恒等变换,将
(p+aV2)(V−b)=RT(p+\frac{a}{V^2})(V-b)=RT(p+V2a)(V−b)=RT
化为
p=RTV−b−aV2p=\frac{RT}{V-b}-\frac{a}{V^2}p=V−bRT−V2a
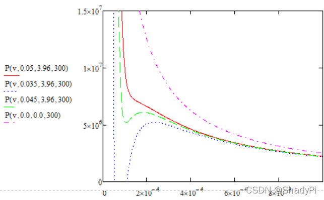
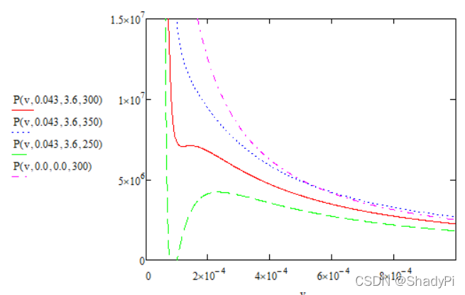
此时,p为关于a,b,V,T四个变量的常数,我们可以通过 控制变量 的方法,绘制多幅p-V图,从而观察范德瓦尔斯方程中的若干参数对气体特性的影响。
定义 函数 P(v,b,a,T)如下:

可得下面三幅p-V图像,变量分别为a,b和T:


免责声明:本文系网络转载或改编,未找到原创作者,版权归原作者所有。如涉及版权,请联系删