在 Mathcad 中可以使用solve运算符求解方程组。操作如下:
首先在工具栏中插入solve运算符:
然后在占位符中输入中括号【】,在括号里Shift+Enter可以另起一行,依次输入所有方程:
光标定位到solve后,输入逗号,然后输入要求解的变量,多个变量之间也是用逗号分隔:
如果需要化简计算结果,可以在solve后继续插入运算符:
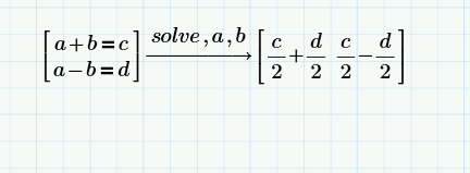
完整操作如下:
其实方程组在Mathcad里面就是矩阵,因此也可以直接插入矩阵:
因此,解方程组出来的结果也是矩阵。
然后介绍一下如何引用计算结果,首先将结果矩阵 赋值 到某个变量:
免责声明:本文系网络转载或改编,未找到原创作者,版权归原作者所有。如涉及版权,请联系删