在本 实验 中,主要学习了如何绘制三维散点图。
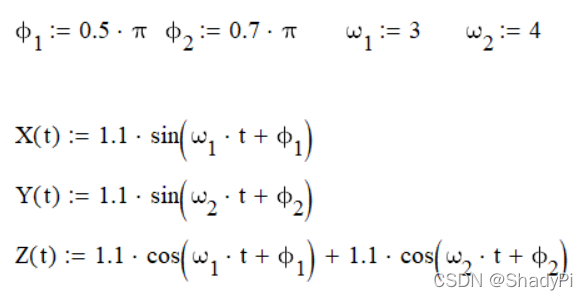
首先定义一些常量与每个点的 坐标 表达式:

之后,选择insert→\rightarrow→Graph→\rightarrow→3D Scatter plot插入一张3D散点图,在左下角填入( X ,Y,Z)就可以得到两个相互垂直平面上的简谐振动叠加后在三维空间的运动轨迹散点图。
要观察到李萨如图形,只需要将视角调整至垂直xOy平面的方向,或者直接在二维平面上作图:

要观察到王萨如图形,需要观察其在y=-x平面上的投影。双击图像,可以直接在General\rightarrowView界面设置参数,直接调整到最合适的视角:

免责声明:本文系网络转载或改编,未找到原创作者,版权归原作者所有。如涉及版权,请联系删