论文:CenterFace: Joint Face Detection and Alignment Using Face as Point
Github:https://github.com/Star-Clouds/CenterFace
论文基于centerNet进行改进,提出了anchor free形式的人脸检测框架,可以同时实现人脸检测+关键点检测。精度和速度都优于主流的MTCNN,Face Box等框架。
主要贡献:
级联检测器的缺点:
网络结构:

网络整体结构采用MobileNetV2结构,MobileNetV2进行了5次下采样,在MobileNetV2的最后一层,增加了3个上采样层。最终输出的大小进行了2次下采样,输出维度为原图的1/4。
Loss函数:
人脸分类loss,

其中,α = 2 ,β = 4
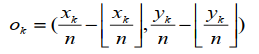
人脸框中心点偏移loss,


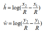
人脸框宽,高的loss,

关键点的loss,

整体loss,

实验结果:
推理速度,
FDDB精度,
WIDER FACE 精度,

Onnx推理:
Onnx模型格式,可以方便的使用程序进行op的增删改查操作。包括节点的增加,去除,输入输出维度的修改等。同时,基于onnx runtime 的推理可以获得比基于pytorch推理略快的速度。缺点就是整个graph已经固定,不支持动态输入大小。
首先使用change_onnx.py修改作者提供的onnx模型的输入维度,
import onnx model = onnx.load("../models/onnx/centerface.onnx") # The model is represented as a protobuf structure and it can be accessed# using the standard python-for-protobuf methods # iterate through inputs of the graphfor input in model.graph.input: print (inpu
免责声明:本文系网络转载或改编,未找到原创作者,版权归原作者所有。如涉及版权,请联系删