不等待
即关注
简介
世界的事物原本统一,是因为专业赋予我们看待世界的角度,今天分别从经济学方法(主成分分析)和结构分析方法(振型分解法)来讨论下这个东西。
主成分分析法&振型分解法
首先小谈下主成分分析法(principal components analysis),也称主分量分析,是利用降维的思想,在损失很少信息的前提下,把多个指标转化为几个综合指标的多元统计方法。通常把转化生成的综合指标称为主成分,其中每个主成分都是原始变量的线性组合,且各个主成分之间互不相关,使得主成分比原始变量具有某些更优越的性能。这样在研究复杂问题时就可以只考虑少数几个主成分而不至于损失太多信息,从而更容易抓住主要矛盾,揭示事物内部变量之间的规律性,同时使问题得到简化,提高分析效率。
【主成分分析法】
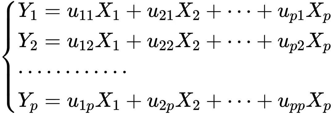
(详见《多元统计分析》)设对某一事物的研究涉及p个指标,分别用X1,X2,…,X。表示,这p个指标构成的p维随机向量为X=(X1,X2,…,Xp)'。设随机向量X的均值为μ。
对X进行线性变换,可以形成新的综合变量,用Y表示,也就是说,新的综合变量可以由原来的变量线性表示,即满足下式:
而它的几何意义在于,在处理涉及多个指标问题的时候,为了提高分析的效率,可以不直接对p个指标构成的p维随机向量X=(X1,X2,…,Xp)'进行分析,而是先对向量X进行线性变换,形成少数几个新的综合变量Y1,Y2,…,Yp,使得各综合变量之间相互独立且能解释原始变量尽可能多的信息。这样,在以损失很少部分信息为代价的前提下,达到简化数据结构,提高分析效率的目的。
主成分分析方法的几何意义
【振型分解法】
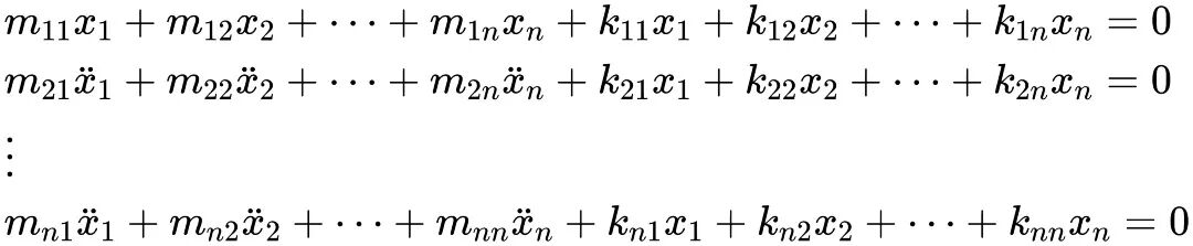
首先第一步建立动力方程,此处不做太多解释,可看《往期 结构动力学初步——单质点结构的瞬态动力学分析》,也可通过基本的力学原理进行建立动力方程。
如:通过微分方法——非变分的方法(如牛顿第二定律、达朗贝尔原理、拉格朗日方程);变分的方法(如虚功原理)。
或通过积分的方法——非变分的方法(如能量守恒原理、动量变化定理);变分的方法(如哈密顿原理)。
矩阵形式即:

【算例】
计算串模型8层楼,每层质量m=10t,每层刚度 10^8 N/m ,计算前六阶振型和周期。
Etbas结果呈现:
自编Matlab结果:
根据主成分分析方法计算分析可得:
利用Matlab做主成分分析可得:
(各特征值和累计贡献率)
将特征值绘制成图可得到:
(注:求特征值方法有很多种,Matlab的princomp命令和SAS内置的计算方法选择有点差别,但结果基本一致)
(注:蓝色为Matlab的princomp命令,红色为SAS内置计算)
总结
同一种事物在不同身份的人看来是不一样的,数学的人称它为特征向量,土木的人称它为振型,经济学的人称它为主成分,当然还有累计贡献率-振型参与系数……
所以说世界消解统一的宇宙秩序,解构了由这种宇宙秩序所设定的统一的价值世界,价值世界出现了多元分化。世界原本是没有意义的,人们为了摆脱和超越当下世界的短暂性和有限性,通过预设与想象,以各种身份(工程师、经济学家、医生)的角度赋予世界以某种意义, 也就是说世界原本是统一的,但同时也是多元的,对于同一个事物,从不同的角度理解会得到不一样的结论,世界不是非黑即白、非对即错。
建源之光——工程侠
往期推荐 ·
往期精彩
#性能分析
#其他
~路过别擦肩~