最先介绍的是函数bode和logspace。其中bode用于绘制伯德图,函数logspace用于生成对数刻度的频率点向量,可以供函数bode使用。
一个简单的例子:

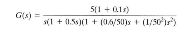
其伯德图包含对数幅频增益曲线和相频特性曲线,如图

使用 命令 :
>> w = logspace(-1,3,200);
>> num = 5*[0.1 1];
>> f1 = [1 0];
>> f2 = [0.5 1];
>> f3 = [1/2500 0.6/50 1];
>> den = conv(f1,conv(f2,f3));
>> sys = tf(num,den)
sys =
0.5 s + 5
---------------------------------------
0.0002 s^4 + 0.0064 s^3 + 0.512 s^2 + s
Continuous-time transfer function.
>> bode(sys,w)


以上的第一个参数是传递函数模型,bode命令也支持状态空间模型表示的 系统 。

免责声明:本文系网络转载或改编,未找到原创作者,版权归原作者所有。如涉及版权,请联系删