许可优化
许可优化
产品
产品
解决方案
解决方案
服务支持
服务支持
关于
关于
软件库
当前位置:服务支持 >  软件文章 >  问题讨论:使用Python学习CFD初级理论之一维Burgers方程(6/10)

问题讨论:使用Python学习CFD初级理论之一维Burgers方程(6/10)

阅读数 653
点赞 0
article_banner

本次利用Python求解Burger方程。关于Burgers方程的具体描述,可以参阅维基百科。一维Burgers方程描述为:

[问题讨论]使用Python学习CFD初级理论系列一一维Burgers方程(6/10)的图1

该方程同时包含了对流项与扩散项,式中u为速度, ν为介质粘度。

对时间项采用向前差分,对空间项采用向后差分,二阶导数项采用中心差分,可写成离散方程为:

[问题讨论]使用Python学习CFD初级理论系列一一维Burgers方程(6/10)的图2

将待求项提出来,可写成:

[问题讨论]使用Python学习CFD初级理论系列一一维Burgers方程(6/10)的图3

本次采用的初始条件为:

[问题讨论]使用Python学习CFD初级理论系列一一维Burgers方程(6/10)的图4

[问题讨论]使用Python学习CFD初级理论系列一一维Burgers方程(6/10)的图5

采用边界条件为:

[问题讨论]使用Python学习CFD初级理论系列一一维Burgers方程(6/10)的图6

方程解析解为:

[问题讨论]使用Python学习CFD初级理论系列一一维Burgers方程(6/10)的图7

可以利用Sympy包进行符号运算,类似Mathematica软件。

这里的初始条件并非显式表达式,需要将其表达为显式表达式。

故采用Sympy进行简化。

import numpy as np
import sympy

x, nu, t = sympy.symbols('x nu t')
# 定义phi的表达式
phi = (sympy.exp(-(x - 4 * t)**2 / (4 * nu * (t + 1))) +
      sympy.exp(-(x - 4 * t - 2 * sympy.pi)**2 / (4 * nu * (t + 1))))
# 计算phi的偏导数
phiprime = phi.diff(x)

from sympy.utilities.lambdify import lambdify
# 得到u的表达式
u = -2 * nu * (phiprime / phi) +4
# 定义lambdify函数,将其写成python可计算的形式
ufunc = lambdify((t,x,nu),u)

下面定义初始条件。

from matplotlib import pyplot

nx = 101  # 网格数量
nt = 100 #数据步数
dx = 2 * numpy.pi / (nx - 1) # 网格尺寸
nu = 0.07  # 粘性系数
dt = dx * nu # 时间步长,这么算实际上是为了满足CFL条件

x = np.linspace(0, 2 * numpy.pi, nx) # 计算区域0~2 pi
un = np.empty(nx)
t = 0

u = np.asarray([ufunc(t, x0, nu) for x0 in x]) # 定义初始值

plt.plot(x,u,lw=3,color='red')
plt.xlim([0,2*np.pi])
plt.xlabel("x(m)")
plt.ylabel("time(s)")
plt.ylim([0,10])
plt.show()

初始速度分布如图所示。

[问题讨论]使用Python学习CFD初级理论系列一一维Burgers方程(6/10)的图8

回到Burgers方程上来。

for n in range(nt):
   un = u.copy()
   for i in range(1, nx-1):
       u[i] = un[i] - un[i] * dt / dx *(un[i] - un[i-1]) + nu * dt / dx**2 *\
               (un[i+1] - 2 * un[i] + un[i-1])
   u[0] = un[0] - un[0] * dt / dx * (un[0] - un[-2]) + nu * dt / dx**2 *\
               (un[1] - 2 * un[0] + un[-2])
   u[-1] = u[0]

u_analytical = np.asarray([ufunc(nt * dt, xi, nu) for xi in x])

plt.figure(figsize=(8,4.8))
plt.plot(x,u, marker='o', lw=3, label='Computational')
plt.plot(x, u_analytical, label='Analytical',lw=3)
plt.xlim([0, 2 * np.pi])
plt.ylim([0, 10])
plt.xlabel("x(m)")
plt.ylabel("time(s)")
plt.legend()

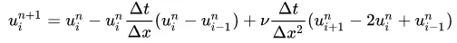
计算结果如图所示。

[问题讨论]使用Python学习CFD初级理论系列一一维Burgers方程(6/10)的图9

可以看到,误差很大,我们在后续的文章中会提到如何改进算法以减小误差。

注:本系列教程来自国外一个使用Python进行CFD初级理论学习的项目,源项目网址为:http://lorenabarba.com/blog/cfd-python-12-steps-to-navier-stokes/。感兴趣的同学可以去官方主页了解更多信息。

本文转载自微信公众号“CFD之道”,有删减,感谢源作者。


免责声明:本文系网络转载或改编,未找到原创作者,版权归原作者所有。如涉及版权,请联系删

武汉格发信息技术有限公司,格发许可优化管理系统可以帮你评估贵公司软件许可的真实需求,再低成本合规性管理软件许可,帮助贵司提高软件投资回报率,为软件采购、使用提供科学决策依据。支持的软件有: CAD,CAE,PDM,PLM,Catia,Ugnx, AutoCAD, Pro/E, Solidworks ,Hyperworks, Protel,CAXA,OpenWorks LandMark,MATLAB,Enovia,Winchill,TeamCenter,MathCAD,Ansys, Abaqus,ls-dyna, Fluent, MSC,Bentley,License,UG,ug,catia,Dassault Systèmes,AutoDesk,Altair,autocad,PTC,SolidWorks,Ansys,Siemens PLM Software,Paradigm,Mathworks,Borland,AVEVA,ESRI,hP,Solibri,Progman,Leica,Cadence,IBM,SIMULIA,Citrix,Sybase,Schlumberger,MSC Products...

相关文章
技术文档
QR Code
微信扫一扫,欢迎咨询~
customer

online

联系我们
武汉格发信息技术有限公司
湖北省武汉市经开区科技园西路6号103孵化器
电话:155-2731-8020 座机:027-59821821
邮件:tanzw@gofarlic.com
Copyright © 2023 Gofarsoft Co.,Ltd. 保留所有权利
遇到许可问题?该如何解决!?
评估许可证实际采购量? 
不清楚软件许可证使用数据? 
收到软件厂商律师函!?  
想要少购买点许可证,节省费用? 
收到软件厂商侵权通告!?  
有正版license,但许可证不够用,需要新购? 
联系方式 board-phone 155-2731-8020
close1
预留信息,一起解决您的问题
* 姓名:
* 手机:

* 公司名称:

姓名不为空

姓名不为空

姓名不为空
手机不正确

手机不正确

手机不正确
公司不为空

公司不为空

公司不为空