许可优化
许可优化
产品
产品
解决方案
解决方案
服务支持
服务支持
关于
关于
软件库
当前位置:服务支持 >  软件文章 >  问题讨论:使用Python学习CFD初级理论之一维扩散方程(5/10)

问题讨论:使用Python学习CFD初级理论之一维扩散方程(5/10)

阅读数 706
点赞 0
article_banner

本文描述利用Python求解计算一维扩散方程。 

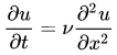
一维扩散方程为:

[问题讨论]使用Python学习CFD初级理论系列一一维扩散方程 (5/10)的图1

与前面方程不同的地方在于此方程包含二阶导数,因此首先对二阶导数进行离散。

采用中心差分格式对二阶导数进行离散。

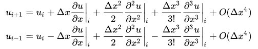
考虑泰勒展开式:

[问题讨论]使用Python学习CFD初级理论系列一一维扩散方程 (5/10)的图2

两式相加,可得到二阶导数项:

[问题讨论]使用Python学习CFD初级理论系列一一维扩散方程 (5/10)的图3

改变排列顺序,可得到:

[问题讨论]使用Python学习CFD初级理论系列一一维扩散方程 (5/10)的图4

将二阶导数项代入到原方程中,可得到离散方程:

[问题讨论]使用Python学习CFD初级理论系列一一维扩散方程 (5/10)的图5

改变方程形式,可得到:

[问题讨论]使用Python学习CFD初级理论系列一一维扩散方程 (5/10)的图6

假设初始条件:

[问题讨论]使用Python学习CFD初级理论系列一一维扩散方程 (5/10)的图7

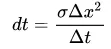
注:这里定义一个sigma的目的是为了控制时间步长dt,以使其满足CFL条件。 
令:

[问题讨论]使用Python学习CFD初级理论系列一一维扩散方程 (5/10)的图8

得到:

[问题讨论]使用Python学习CFD初级理论系列一一维扩散方程 (5/10)的图9

这里的 σ就是Courant数。

可写代码如下:

import numpy as np
import matplotlib.pyplot as plt
nx = 41 # 网格节点数
dx = 2/(nx - 1) # 网格尺寸
nt = 40       # 时间步数
nu = 0.3 # 扩散系数
sigma = 0.2  #定义一个中间变量,用于确定时间步长dt
dt = sigma * dx**2 / nu #时间步长
# 定义初始条件
u = np.ones(nx)
u[int(0.5 / dx):int(1 / dx + 1)] = 2
un = np.ones(nx) # 定义一个定义数组
plt.ion()
plt.show()
for n in range(nt): #时间循环,计算每一个时间点上网格点上的数据
   plt.cla()
   un = u.copy()
   for i in range(1,nx-1): #空间循环,计算u[i]
       u[i] = un[i]+ nu *dt /dx**2 * (un[i+1] -2 * un[i] + un[i-1])
   # 下面为图形绘制代码
   plt.plot(np.linspace(0,2,nx) , u , 'm' , lw =3 )  #绘制速度随时间变化曲线
   plt.ylim(0.9,2.1)          # 确定y轴上下限
   plt.title("times: %.4f s"% (n*dt)) # 将时间打印到图形上
   plt.pause(0.1) #控制图形显示时间
plt.ioff()
plt.show()

代码运行如图所示。

[问题讨论]使用Python学习CFD初级理论系列一一维扩散方程 (5/10)的图10

注:本系列教程来自国外一个使用Python进行CFD初级理论学习的项目,源项目网址为:http://lorenabarba.com/blog/cfd-python-12-steps-to-navier-stokes/。感兴趣的同学可以去官方主页了解更多信息。

本文转载自微信公众号“CFD之道”,有删减,感谢源作者。


免责声明:本文系网络转载或改编,未找到原创作者,版权归原作者所有。如涉及版权,请联系删

武汉格发信息技术有限公司,格发许可优化管理系统可以帮你评估贵公司软件许可的真实需求,再低成本合规性管理软件许可,帮助贵司提高软件投资回报率,为软件采购、使用提供科学决策依据。支持的软件有: CAD,CAE,PDM,PLM,Catia,Ugnx, AutoCAD, Pro/E, Solidworks ,Hyperworks, Protel,CAXA,OpenWorks LandMark,MATLAB,Enovia,Winchill,TeamCenter,MathCAD,Ansys, Abaqus,ls-dyna, Fluent, MSC,Bentley,License,UG,ug,catia,Dassault Systèmes,AutoDesk,Altair,autocad,PTC,SolidWorks,Ansys,Siemens PLM Software,Paradigm,Mathworks,Borland,AVEVA,ESRI,hP,Solibri,Progman,Leica,Cadence,IBM,SIMULIA,Citrix,Sybase,Schlumberger,MSC Products...

相关文章
技术文档
QR Code
微信扫一扫,欢迎咨询~
customer

online

联系我们
武汉格发信息技术有限公司
湖北省武汉市经开区科技园西路6号103孵化器
电话:155-2731-8020 座机:027-59821821
邮件:tanzw@gofarlic.com
Copyright © 2023 Gofarsoft Co.,Ltd. 保留所有权利
遇到许可问题?该如何解决!?
评估许可证实际采购量? 
不清楚软件许可证使用数据? 
收到软件厂商律师函!?  
想要少购买点许可证,节省费用? 
收到软件厂商侵权通告!?  
有正版license,但许可证不够用,需要新购? 
联系方式 board-phone 155-2731-8020
close1
预留信息,一起解决您的问题
* 姓名:
* 手机:

* 公司名称:

姓名不为空

姓名不为空

姓名不为空
手机不正确

手机不正确

手机不正确
公司不为空

公司不为空

公司不为空