小球在弹簧顶端的木块上的弹性跳动问题
——问题描述
最近做了个小项目,是关于用Matlab解决小球碰撞问题的,觉得这个例子对用Matlab解微分方程有启发性的作用。我将以系列课程的形式写出来与大家分享。通过该案例,你将了解用Matlab解微分方程的基本过程,同时对Matlab函数(function)功能,odefile模板,绘图技巧将有更深层次的认识。闲话不多说,今天先把这个案例的理论基础与全部代码分享给大家。

图1.实体模型
如图1所示,实体模型由两部分组成,一是小球,二是底面连接弹簧的木板。小球从高为h的位置自然下落后撞击在木板上,此后,木板因为受冲击往下运动,小球与木板撞击后向上运动,如果忽略一切摩擦力,则小球与木板会一直运动下去。我们首先建立坐标系,以弹簧自然伸长位置的上端作为坐标原点,y轴竖直向上,m1,m2分别表示小球与木块的质量,h为小球自由落体的高度,k为弹簧的弹性模量,如下图所示。

图2.参考坐标系建立
为了分析整个运动过程,把运动分为两个部分:
部分一:小球与木板没有接触时
该情况下,根据各自的受力情况,列出方程组(1):
(1)
其中,y1,y2分别为小球和木块的位移,g为重力加速度。对方程进行降阶,令 y3=dy1/dt y4=dy2/dt,y3,y4的物理意义为小球与木块的速度,则方程组(1)变为方程组(2),
(2)
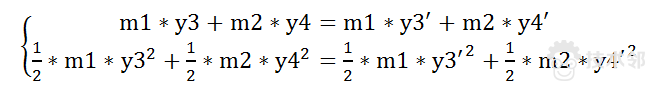
部分二:小球与木板碰撞时
该碰撞过程十分短暂,忽略碰撞过程中二者的高度变化,根据动量守恒与能量守恒定律有方程组(3),其中y3'与y4'分别为碰撞后小球与木板的速度,碰撞后用此速度代替原来二者的速度。
(3)
化简后有方程组(4)
(4)
所有问题变成了如何解方程组2与4,下节课将对此进行分析。
PS.今天给出这个案例的全部代码,最近将对这些代码进行剖析,敬请期待:
%%以下是主函数,当主函数1与子函数1,2,3在同一目录下,运行主
%%函数即可
h0=50;
k=60;
m1=20;m2=50;
tstart=0;
tfinal=1000;
y0=[h0;0;0;0];
tout=tstart;
yout=y0';
options=odeset('Events','on');
for i=1:25
[t,y,event]=ode45('xqythkfun',[tstart:0.03:tfinal],y0,options);
tout=[tout;t(2:end)];
yout=[yout;y(2:end,:)];
y0(1)=y(end,1);y0(2)=y(end,2);
v10=y(end,3);v20=y(end,4);
y0(3)=(-m2*v10+2*m2*v20+m1*v10)/(m2+m1);
y0(4)=(2*m1*v10+m2*v20-v20*m1)/(m2+m1);
tstart=t(end);
end
figure
ylabel('高度');
xlabel('时间');
hold on
plot(tout,yout(:,1),tout,yout(:,2));
legend('小球','木板');
figure
axis([-1 1 -50 h0+10]);
axis off
hold on
yt1=-45:0.3:0;
xt1=0.06*sin(yt1);
tanhuang=line(xt1,yt1,'color','k','erasemode','xor','linewidth',2);
qiu=line(0,yout(1,1)+4,'color','k','erasemode','xor','marker','.','markersize',50);
tank=line([-0.1,0.1],[yout(1,2),yout(1,2)],'color',[0.3 0.1 0.5],'erasemode','xor','linewidth',8);
ground=line([-0.5 0.5],[-50 -50],'color',[0.6 0.1 0.2],'linewidth',20);
%%
for i=1:length(tout)
yt=-45:0.3:yout(i,2);% xt=0.06*sin((yt-yout(i,2))*(-45)./(-45-yout(i,2)));
set(tanhuang,'xdata',xt,'ydata',yt);
set(qiu,'ydata',yout(i,1)+4);
set(tank,'ydata',[yout(i,2),yout(i,2)]);
drawnow;
end
%%以下是子函数 1
function varargout=xqythkfun(t,y,flag)
switch flag
case ''
varargout{1}=f(t,y);
case 'events'
[varargout{1:3}]=events(t,y);
otherwise
error(['Unknown flag ''' flag '''.']);
end
%%以下是子函数 2
function ydot=f(t,y)
ydot=[y(3);y(4);-9.8;-9.8-(k/m2)*y(2);];
%%以下是子函数3
function [value,isterminal,direction]=events(t,y)
Q=y(1)-y(2);
value=Q;
isterminal=1;
direction=-1;
Ps.一些基本的注释因为出现乱码,全部删除,故给出代码下载位置。
代码下载位置
http://www.jishulink.com/content/doc/feebd153-d319-454b-a3dd-18e6624aa9e9