做整车碰撞模拟仿真的朋友,可能需要创建安全带或者对现有安全带进行调整。但是一条安全带基本都会包括卷缩器、滑轮、布带等部分,各个部分和假人座椅等还需要配合定位,更有接触需要设置,根本不是那么简单就能创建出来的。但是,ANSA中却有一个插件,能帮助用户进行各个部分的定义,然后快速创建出来完整的安全带模型。

下面,我们来讲讲这个ANSA自带的插件怎么使用。
一、激活与创建安全带插件
首先我们激活功能:
Deck > SAFETY > SeatBelt > SeatBelt Tool. 如此,我们将会打开以下界面。

在初次使用这个功能时,如上的界面中将会是空白,空白处也会提醒用户使用鼠标右键新建一个安全带,如下:

我们按照默认的方式新建一个安全带,这样我们就能看到以下的界面内容。

一个典型的安全带一般都由三段构成:
这三处分别对应窗口中的三个部分,如下所示。至于Parts to Wrap,则需要指定安全带包裹的身体部分。而窗口下方的【Parameters】,则是用来控制定义各个部分的安全带的参数。三个部分都需要分开定义,分开生成。

好了,清楚以上界面中的安全带创建流程,我们开始对各个部分进行定义。
二、定义安全带详细设置
第一步是定义安全带需要包裹的对象,在【Parts to Wrap】上右键选择【Select Parts】选择假人的身体部分,点击中键确认,这样,【Parts to Wrap】的状态将由“红叉”变为“绿勾”。

接下来定义安全带的第一段:车身上由卷缩器伸出的安全带部分。然后,我们在【Component 1】选项上右键选择【Pick Points】,激活后我们需要先后选择两个点。

按照如下图示选择两个定位节点后按中键确认,我们会看到窗口出现两个节点的列表,如下所示。

选中【Component 1】后,我们看到窗口下方的【Parameters】有些关于第一段的定义,比如单元大小(12mm)、起始单元类型(卷缩器单元)、结束单元类型(滑轮单元)等等,我们保持默认。

选中【Component 1】右键选择【Create Component】,然后就有如下的第一部分被创建出来,我们看到起始单元是一个卷缩器单元,中间是边长为12mm的安全带单元,结束单元是一个滑轮单元。

安全带的第一部分被创建出来后,我们继续来创建第二部分。和第一部分类似,选中【Component 2】,右键选择【Pick Points】,然后在模型中按照安全带的走向路线依次选择第二段安全带的节点。如下图所示。

确认节点选择后,按鼠标中间确认,即可看到如下图所示的节点列表,然后选中【Component 2】,右键选择【Create Component】,就能创建出来第二部分的安全带。如下图所示。(值得注意的是,这部分的安全带部分也有自己的【Parameters】参数控制,图例为采用默认参数所创建。)

第二部分所创建出来的安全带可拖动路径节点来微调安全带的位置。如下所示。

接下来,我们来创建安全带的第三部分。选中【Component 3】右键选择【Pick Points】。确认这些路径节点后,然后中间确认。

确认后节点后,节点列别依然会出现在【Component 3】选项下的列表中。然后我们选中【Component 3】右键选择【Create Component】,就会出现以下的腹部的安全带,这部分的安全带依然能通过拖动节点来微调。然后我们按鼠标中间确认这一部分的创建。(值得注意的是,这部分的安全带部分也有自己的【Parameters】参数控制,图例为采用默认参数所创建。)


截至如上,我们便成功创建出来了安全带的模型。需要提醒的是,安全带的接触等都被自动创建,但是材料却是没有定义的。由于
安全带的具体材料参数,各家自有自己的材料库,不一而同,此处省略一万字(属于敏感保密内容)。 但是,我可以围绕材料的应力应变曲线进行讲解。
三、材料的应力与应变曲线
懂材料曲线,是一个CAEer的基本功。什么是真应变。在《材料力学》中,应力和应变分别定义为:单位面积上的内力和单位长度的改变量。用公式表示分别为:
为什么要定义应力和应变呢?
应力、应变在表征材料强度和变形能力中具有很强的实用性。
假设有A和B两种材料,用材料A做成直径20mm的圆棒试样,材料B做成直径为10mm的圆棒试样,材料A在50kN的拉力下被拉断,材料B在45kN 拉力下被拉断。
但我们并不能说材料A的承载能力就比材料B的承载能力高。为什么呢?我们根据以上的公式(1)可以求出两者的最大应力:

可见,材料B比材料A有更高的承载能力(3倍还多),只是因为试样B截面积较小才在较小的拉力下断裂,因此用“单位面积上的内力”就消除了试样截面尺寸的影响,得到材料的本身属性。
变形方面也是这样,还是材料A和B,假设其截面相同(直径10mm),但试样长度不同,材料A长为200mm,材料B长为250mm,假设在45kN下两种材料的伸长量都是0.2mm,同样我们也不能就说材料B具有和材料A相同的变形。按照应变的定义,有

在相同的外力下,两个样件产生了相同的伸长量,我们能说两种材料有相同的变形能力吗?不能,实际上材料A的变形要多一些。可见,应变通过“单位长度的变形量”消除了比较材料变形能力时的试样长度影响。

万能试验机
材料强度和变形的测定一般用万能试验机来测定(如上图),将标准样件安装在上下两个夹具之间,通过力传感器和位移传感器,测出在拉伸试件过程中力的变化和样件的伸长量,并将其画在“力-伸长量”的坐标系内,将其分别除以截面面积和试件长度可得到“应力-应变曲线”。
下图所示为低碳钢拉伸曲线,由于它具有弹性变形、屈服流动、强化、颈缩四个典型的材料变形特征,因此常被用来说明材料的变形过程。

低碳钢拉伸曲线
需要强调的是,按照前面应力、应变的定义,将拉力P除以试样面积A0,将伸长量
∆L除以试样长度L0,所得到的应力、应变,实际上有很大的问题,主要集中在颈缩阶段。
在这个阶段,试样面积急剧减小,但是应力求解还是利用拉力除以原始截面面积A0,这就产生了错误!
同样,试样在拉伸过程中,长度不断增加,但求解应变还是用伸长量除以原始长度L0,这也是不对的。
因此,这样求出来的应力应变并不是真实的应力、应变,只能算是名义上的应力、应变,因此称之为名义应力和名义应变,大概是工程使用上比较方便,也称为工程应力和工程应变。
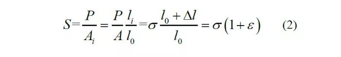
而真实的应力、应变称为真应力和真应变,需要以瞬时的截面面积和瞬时的试样长度为标准去定义。假设试样原始长度为L0,变形终了为Lf,变形过程中任意瞬时为Li,同样的下标也用来标识变形过程面积A。另外P表示瞬时的载荷,任意瞬时的真应力S定义为:

假设材料体积不变,即有

上式可推导出真应力:

对于真应变,设试样在加载过程中的变形的微增量为dl,则微变形过程中真应变为:

假设样件从L0变形到Lf,则总变形量为:

如果用真应力、真应变表示低碳钢的拉伸曲线,在颈缩阶段,真应力也是在上升的,如下图所示:

从式(2)和(3)可以看出,虽然名义应力和名义应变不是真应力和真应变,但它们却可以用来表达真应力和真应变,真应力是名义应力的(1 ɛ)倍,应变是(1 ɛ)的自然对数。真应力说明颈缩阶段,加在材料上的应力其实并没有减少。真应变可以合理的解释分次加载时应变的可叠加性。
例如,有一试样两次拉伸,原长为L0,第一次伸后长L1,退火后继续拉伸(退火保证两次材料性能一致)至L2,第一次拉伸的应变为:

第二次拉伸的应变为:

如果一次性拉伸试样至L2,则求解应变为:

我们发现:

这与事实不符,怎么会一次拉完和分两次拉会不一样呢!
但如果我们考虑真应变,就可以保证两次加载后的真应变可以叠加,如第一拉伸后的真应变为:

第二次拉伸后真应变为:

如果一次拉伸试样至L2,真应变为:

叠加两个真应变,有:

可见,真应变满足多次加载时应变的叠加性。
实验中很难直接直接测量出真应力,因为样件的截面积随时在变,很难实施跟踪,所以,现实中要获得真实应力,比较快捷的方法就是用公式(2)进行推导。
最后来总结下:
以实验拉伸样件为例,名义应力(Nominal stress)亦称工程应力,不考虑材料本身的截面变化,较粗糙。真应力(Real Stress)考虑材料本身的截面变化,较精确。
所以,你的有限元模型里,用的是名义应力应变曲线呢,还是真实应力应变曲线?
Tips:
免责声明:本文系网络转载或改编,未找到原创作者,版权归原作者所有。如涉及版权,请联系删
武汉格发信息技术有限公司,格发许可优化管理系统可以帮你评估贵公司软件许可的真实需求,再低成本合规性管理软件许可,帮助贵司提高软件投资回报率,为软件采购、使用提供科学决策依据。支持的软件有: CAD,CAE,PDM,PLM,Catia,Ugnx, AutoCAD, Pro/E, Solidworks ,Hyperworks, Protel,CAXA,OpenWorks LandMark,MATLAB,Enovia,Winchill,TeamCenter,MathCAD,Ansys, Abaqus,ls-dyna, Fluent, MSC,Bentley,License,UG,ug,catia,Dassault Systèmes,AutoDesk,Altair,autocad,PTC,SolidWorks,Ansys,Siemens PLM Software,Paradigm,Mathworks,Borland,AVEVA,ESRI,hP,Solibri,Progman,Leica,Cadence,IBM,SIMULIA,Citrix,Sybase,Schlumberger,MSC Products...