纤维增强材料的起始准则:
要求未损伤时材料的性能为线弹性;
基于Hashin的理论(Hashin and Rotem, 1973, and Hashin, 1980);
考虑了四种不同的破坏模式:纤维拉伸、纤维压缩、基体拉伸和基体压缩;
可以与纤维增强复合材料损伤演化模型结合使用。

1. 损伤起始
损伤起始是指材料在某一点开始发生退化。在Abaqus中,纤维增强复合材料的损伤起伤准则是基于Hashin的理论。这些标准考虑了四种不同的损伤起始机制:纤维拉伸、纤维压缩、基质拉伸和基体压缩。
起始准则的一般形式如下:

纤维增强材料的起始准则,损伤变量等于1.0或更高的值表示已满足起始标准
在上述方程中:


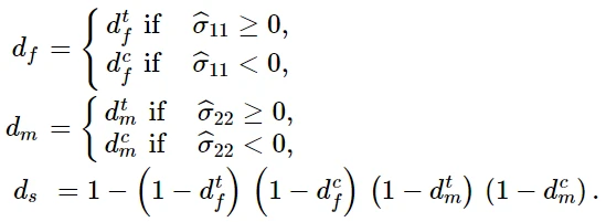
df、dm和ds是表征纤维、基体和剪切损伤的内部(损伤)变量,由损伤变量d t f、d c f、d t m和d c m推导而来,对应于前面讨论的四种模式,分别为:

在任何损伤发生和演化之前,损伤算子M等于单位矩阵,因此,σ 尖= σ。一旦发生了至少一种模式的损伤起裂和演化,损伤算子在其他模式的损伤起裂准则中就具有重要意义。有效应力,σ尖,是用来表示作用在损坏区域上的应力,它能有效地抵抗内力。
以上提出的起始条件可以专门用于Hashin and Rotem(1973)中提出的模型,设置α = 0.0, ST = YC / 2,或者设置α = 1.0得到Hashin(1980)中提出的模型。
输出变量与每个起始准则(纤维拉伸、纤维压缩、基体拉伸、基体压缩)相关联,以表示是否满足该准则。1.0或更高的值表示已满足初始化标准。如果定义了损伤起始模型而没有定义相关的演化规律,则起始准则将只影响输出。因此,可以使用这些标准来评估材料遭受损伤的倾向,而无需对损伤过程进行建模。

abaqus中的定义位置
并给出XT, XC, YT, YC, SL, ST,α的值进行定义。

看到这里有没有觉得公式有点晕,到底纤维复合材料损伤起始的判据是什么,F t f、F c f、F t m和F c m还是d t f、d c f、d t m和d c m。以我现在的学习认知,我觉得损伤起始判据是F t f、F c f、F t m和F c m,当其等于或大于1时,损伤发生。通过abaqus CAE 已经定义了计算起始判据F t f、F c f、F t m和F c m的一些参数XT, XC, YT, YC, SL, ST,α;因此,判据中只剩σ尖未知,σ尖通过真实应力和损伤算子矩阵的乘积计算,其中损伤算子矩阵中的内部损伤变量d t f、d c f、d t m和d c m的计算在下一节给出。
2. 单元和输出
损伤起始准则必须与具有平面应力公式的单元一起使用,包括平面应力、壳、连续壳和膜单元。
除了Abaqus中可用的标准输出标识符之外,以下变量与纤维增强复合材料损伤模型中材料点的损伤起始相关:
DMICRT:所有损伤起始标准分量;
HSNFTCRT:分析过程中所经历的纤维拉伸起始准则最大值;
HSNFCCRT:分析过程中所经历的纤维压缩起始准则最大值;
HSNMTCRT:分析过程中所经历的基体拉伸起始准则最大值;
HSNMCCRT:分析过程中所经历的基体压缩起始准则最大值;
对于上述表示是否满足损伤模式下起始准则的变量,小于1.0表示不满足,大于等于1.0表示满足。如果定义损伤演化模型,则该变量的最大值不超过1.0。但是,如果不定义损伤演化模型,则该变量的值可能高于1.0,表示超出标准的程度。
免责声明:本文系网络转载或改编,未找到原创作者,版权归原作者所有。如涉及版权,请联系删
武汉格发信息技术有限公司,格发许可优化管理系统可以帮你评估贵公司软件许可的真实需求,再低成本合规性管理软件许可,帮助贵司提高软件投资回报率,为软件采购、使用提供科学决策依据。支持的软件有: CAD,CAE,PDM,PLM,Catia,Ugnx, AutoCAD, Pro/E, Solidworks ,Hyperworks, Protel,CAXA,OpenWorks LandMark,MATLAB,Enovia,Winchill,TeamCenter,MathCAD,Ansys, Abaqus,ls-dyna, Fluent, MSC,Bentley,License,UG,ug,catia,Dassault Systèmes,AutoDesk,Altair,autocad,PTC,SolidWorks,Ansys,Siemens PLM Software,Paradigm,Mathworks,Borland,AVEVA,ESRI,hP,Solibri,Progman,Leica,Cadence,IBM,SIMULIA,Citrix,Sybase,Schlumberger,MSC Products...