许可优化
许可优化
产品
产品
解决方案
解决方案
服务支持
服务支持
关于
关于
软件库
当前位置:服务支持 >  软件文章 >  微型燃气轮机转子浮环轴承系统动力学研究

微型燃气轮机转子浮环轴承系统动力学研究

阅读数 622
点赞 0
article_banner

摘要

国外发达国家非常重视微型燃气轮机的发展,并且已经将先进的浮环轴承技术应用到微型燃气轮机上,这极大的提高了微型燃气轮机的能源利用效率和经济价值。本文运用DyRoBeS软件和有限差分法对浮环轴承的油膜压力进行研究,得到油膜压力、浮环偏心率随转速的变化规律。

1. 目前我国浮环轴承的研究情况

我国对微型燃气轮机转子—浮环轴承系统的研究起步较晚,对其理论和实验都还未充分掌握,所以需要借鉴对涡轮增压器(图1-2)中轴系的设计经验,结构设计中的关键参数再由实验来确定。经实验表明涡轮增压器在工作过程中,经常会发生振动过大或者发生破坏性事故,严重影响整机的正常工作。经分析原因为转子—浮环轴承系统在工作过程中会出现多形式的失稳现象,轴系失稳的主要原因是转子—浮环轴承系统具有很强的非线性,其中油膜的非线性为主导因素,在高速、重载条件下,这些非线性因素导致了整机的破坏。

在对滑动轴承以及可倾瓦轴承的研究中,一般采用传统的线性油膜力模型,也即不考虑非线性因素的八参数油膜力模型,该线性化的油膜力模型基本能够满足对简单轴承特性的分析。国内对浮环轴承的研究中,也采用了线性化的油膜力模型,而在浮环轴承工作过程中,油膜力存在很强的非线性,没有充分考虑以及掌握浮环轴承油膜的非线性势必会因为缺乏理论指导而造成参数选择不合理,进而导致系统动力学特性不佳的后果,严重影响了对微型燃气轮机研制的进度,至今尚未完全掌握这些事故发生的机理。目前主要通过实验的方法来了解转子—浮环轴承系统的动力学特性,缺乏理论指导。

为了提高转子—浮环轴承的可靠性和经济性,必须对浮环轴承的承载能力进行研究,用什么样的方法来实现对承载能力的求解是问题的核心。同时,浮环轴承油膜的稳定性也是研究浮环轴承的主要内容之一,目前国内只是提出了一些研究浮环轴承油膜稳定性的方法,但并没有针对实际微型燃气轮机转子—浮环轴承系统进行研究。另外,浮环是浮环轴承的重要组成部分,在工作过程中,浮环会在各种因素的影响下引起径向变形而影响浮环轴承正常工作,所以需要对浮环的径向变形进行研究。

微型燃气轮机转子-浮环轴承系统的动力学研究的图1

2. DyRoBes软件和有限差分法

求解浮环轴承油膜压力分布是研究承载力、流量的必要途径,而求解油膜压力分布的核心在于求解 Reynolds 方程。有限差分法可以很好的实现Reynolds 方程的求解,有限差分法中需要用到不同转速下的偏心率,这使得有限差分法的程序难以实现。DyRoBeS软件可以分析浮环轴承的油膜压力,能够得到油膜压力分布图和不同转速下的偏心率,所得到的偏心率可为有限差分法服务,最后可以将 DyRoBeS软件和有限差分法所得的结果进行比较。

3. 内外层油膜的Reynolds 方程及浮环

与转子转速的关系

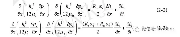
浮环轴承具有内外两层油膜,如图 2-2 所示,因此会有 2 个 Reynolds 方程与其相对应。根据滑动轴承润滑的基本理论,推导出浮环轴承内外油膜的 Reynolds方程,如公式(2-2)和(2-3)所示。对于外层油膜的 Reynolds 方程,公式(2-2)右侧的速度项只涉及到浮环的转速,然而,对于内层油膜的 Reynolds 方程,公式(2-3)右侧的速度项涉及到了浮环和轴颈的转速。

微型燃气轮机转子-浮环轴承系统的动力学研究的图2
微型燃气轮机转子-浮环轴承系统的动力学研究的图3

经过一系列推导,得到浮环转速和转子转速的近似关系式,如下公式所示。

微型燃气轮机转子-浮环轴承系统的动力学研究的图4

该关系反应了环速比为 0.34,通常的环速比为 0.2~0.4 之间,所以本文得到的环速比比较合理。环速比是个非常关键的参数,它贯穿本论文的所有研究内容。

微型燃气轮机转子-浮环轴承系统的动力学研究的图5

4. 应用 DyRoBes软件计算浮环轴承

油膜压力的分布规律

由推导出的内外层无量纲油膜压力的表达式可以看出:同样的条件下,外油膜的油膜压力主要取决于浮环转速,内层油膜的油膜压力主要取决于浮环转速和轴颈转速,这样浮环轴承内层油膜压力大于外层油膜压力,很多学者通过理论和实验已经证实内层油膜压力大于外层的油膜压力的结论。油膜压力小,则对应的承载能力就小;油膜压力大,则对应的承载能大,所以在分析浮环轴承承载能力时,只分析外层的油膜压力即可。在一定条件下,转子转速和偏心率同时影响轴承油膜压力的分布。

将浮环、轴颈以及两者之间的油液看成一个整体,则浮环轴承的外层油膜就相当于一个滑动轴承,所以可以完全按照分析滑动轴承油膜的方法来分析浮环轴承外层油膜。本小节应用DyRoBeS软件对浮环轴承外层油膜进行分析,得到了不同转速下的油膜压力分布图、偏心率的变化规律。这样就可为有限差分法求提供不同转速下的偏心率,并且可以将 DyRoBeS分析的结果与有限差分法分析的结果进行对比,图 2-3 为运用DyRoBeS软件和有限差分法对符合轴承外层油膜压力进行求解分析的流程图。

微型燃气轮机转子-浮环轴承系统的动力学研究的图6

将外层油膜参数(表 2-1)输入DyRoBeS软件中,经分析得到了浮环转速为3400 r/min(转子转速为 10000 r/min)、10200 r/min(转子转速为 30000 r/min)和17000 r/min(转子转速为50000 r/min)时外油膜压力分布图,如图2-4所示。DyRoBeS软件分析得到的DyRoBeS软件很好的实现了对滑动轴承的动态分析,每一油膜压力分布图中可以得知该转速下的偏心率(浮环偏心率)、最大油膜压力等信息。为了更直观的分析偏心率、最大油膜压随浮环转速变化而变化的规律,运用 MATLAB绘制出了偏心率、最大油膜压力随转速变化而变化的曲线,如图 2-5 和 2-6 所示。

微型燃气轮机转子-浮环轴承系统的动力学研究的图7
微型燃气轮机转子-浮环轴承系统的动力学研究的图8
微型燃气轮机转子-浮环轴承系统的动力学研究的图9

由图 2-5 和 2-6 得出了:随着浮环转速的增大,浮环偏心率逐渐减小并趋于定值,最大油膜压力也逐渐减小并趋于定值。浮环静止时,在轴颈及浮环重力的作用下,使得浮环形心处于最下方,也即偏心率最大,此时没有形成动压油膜,所以油膜受到的挤压作用也最大。随着浮环转速的升高,浮环和固定轴瓦间逐渐形成动压油膜,浮环的形心开始向右上方移动,这样浮环的偏心率逐渐减小,最大压力也逐渐减小。

微型燃气轮机转子-浮环轴承系统的动力学研究的图10

将浮环转速为 3400 r/min、10200 r/min 和 17000 r/min 时浮环偏心率和外油膜最大油膜压力列入表 2-2 中,以便为有限差分法分析油膜压力提供必要数据。

微型燃气轮机转子-浮环轴承系统的动力学研究的图11

5. 结 论

本课题为国家自然科学基金面上项目“微型燃气轮发电机高速转子—浮环/半浮环轴承系统的动力学设计方法研究”的子项目。文章结论中的部分条目如下:

(1)运用DyRoBeS软件和有限差分法对浮环轴承的油膜压力分布进行了比较计算,得出了浮环轴承的偏心率随着转速增大而减小的动态变化规律,外层油膜的最大压力随着转速的增大而减小的变化规律。

(2)首次运用DyRoBeS软件计算、分析了不同转速下浮环轴承油膜的等效刚度和阻尼,得出了浮环轴承双油膜四个刚度和四个阻尼的特性系数及其随转速变化而变化的规律,即:Kxx、Kyx、Cxy、Cyx随着转速的增大而增大;Kyy、Cxx、Cyy随着转速的增大而减小;交叉刚度 Kxy在一定转速范围内出现了较大波动。在此基础上,应用 Routh-Hurwitz 稳定判据分析了浮环轴承油膜的稳定性,为实际微型燃气轮机转子—浮环轴承系统的设计提供了重要理论依据。


免责声明:本文系网络转载或改编,未找到原创作者,版权归原作者所有。如涉及版权,请联系删

武汉格发信息技术有限公司,格发许可优化管理系统可以帮你评估贵公司软件许可的真实需求,再低成本合规性管理软件许可,帮助贵司提高软件投资回报率,为软件采购、使用提供科学决策依据。支持的软件有: CAD,CAE,PDM,PLM,Catia,Ugnx, AutoCAD, Pro/E, Solidworks ,Hyperworks, Protel,CAXA,OpenWorks LandMark,MATLAB,Enovia,Winchill,TeamCenter,MathCAD,Ansys, Abaqus,ls-dyna, Fluent, MSC,Bentley,License,UG,ug,catia,Dassault Systèmes,AutoDesk,Altair,autocad,PTC,SolidWorks,Ansys,Siemens PLM Software,Paradigm,Mathworks,Borland,AVEVA,ESRI,hP,Solibri,Progman,Leica,Cadence,IBM,SIMULIA,Citrix,Sybase,Schlumberger,MSC Products...

相关文章
技术文档
QR Code
微信扫一扫,欢迎咨询~
customer

online

联系我们
武汉格发信息技术有限公司
湖北省武汉市经开区科技园西路6号103孵化器
电话:155-2731-8020 座机:027-59821821
邮件:tanzw@gofarlic.com
Copyright © 2023 Gofarsoft Co.,Ltd. 保留所有权利
遇到许可问题?该如何解决!?
评估许可证实际采购量? 
不清楚软件许可证使用数据? 
收到软件厂商律师函!?  
想要少购买点许可证,节省费用? 
收到软件厂商侵权通告!?  
有正版license,但许可证不够用,需要新购? 
联系方式 board-phone 155-2731-8020
close1
预留信息,一起解决您的问题
* 姓名:
* 手机:

* 公司名称:

姓名不为空

姓名不为空

姓名不为空
手机不正确

手机不正确

手机不正确
公司不为空

公司不为空

公司不为空