首页
产品
解决方案
服务支持
AI分析
关于
软件库
在线咨询
申请试用
155-2731-8020
产品
许可分析
实现专业软件许可精细化管理
许可优化
高效利用许可资源、回收闲置许可
许可调配
合理管控调配许可资源
终端软件管理
终端软件管理和合规性管理共同保障终端安全
软件商店
多角度管控软件使用权限,保证软件安全性
资产台账
实用、强大的资产台账管理工具
行业分类
汽车行业
船舶行业
网络行业
半导体行业
医疗行业
军工行业
服务支持
服务保障
软件文章
产品教程
技术文档
关于
关于我们
试用产品
合作伙伴
品牌标志
产品
解决方案
服务支持
AI分析
关于
软件库
产品
许可分析
实现专业软件许可精细化管理
许可优化
高效利用许可资源、回收闲置许可
许可调配
合理管控调配许可资源
终端软件管理
终端软件管理和合规性管理共同保障终端安全
软件商店
多角度管控软件使用权限,保证软件安全性
资产台账
实用、强大的资产台账管理工具
解决方案
汽车行业
船舶行业
网络行业
半导体行业
医疗行业
军工行业
服务支持
服务保障
软件文章
产品教程
技术文档
关于
关于我们
试用产品
合作伙伴
品牌标志
当前位置:服务支持 >
软件文章
>
fluent中湍流阻尼设置与影响分析
fluent中湍流阻尼设置与影响分析
阅读数 548
点赞 0
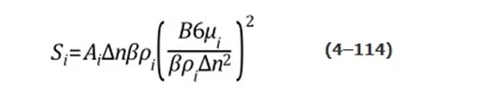
在自由表面流动中,在两种流体之间的界面处的高速度梯度导致两相中产生高湍流度。因此,需要在界面区设置湍流阻尼,才能正确地模拟这种流动。
注意:涡流阻尼只有k-ω模型可用。
添加以下源项到ω方程:
其中,
A_i是i相的界面面积密度;
Δn是单元到界面的法向高度;
β是封闭k-ω模型破坏系数项,等于0.075;
B是阻尼因子;
μ_i是相i的粘度;
ρ_i是相i的密度。
相i的界面面积密度计算为:
其中,
α_i是相i的体积分数;
|Δα_i|是体积分数梯度的大小。
网格大小Δn是使用网格信息在内部计算的。您可以在粘性模型对话框中指定阻尼因子B。阻尼因子的默认值为10。
湍流阻尼是可用的对VOF和混合模型。注意,当使用非混合相流体模型时,它也适用于
欧拉多相流
模型。
如果启用了欧拉多相模型,则可以指定湍流多相模型。如果每相都使用湍流模型,那么ω方程的源项添加到每个相。如果启用了VOF或混合模型,或欧拉多相模型与混合湍流模型,这时所有相求和作为源项添加到混合水平的ω方程。
免责声明:本文系网络转载或改编,未找到原创作者,版权归原作者所有。如涉及版权,请联系删
返回上级列表
联系我们
,获取更多内容
上一篇:
fluent中udf环境变量设置:简单可行方法分享
下一篇:
铝冶炼装置SO2洗涤塔问题:计算机仿真解决方案
相关文章
【JY】时程
分
析
中
的
阻
尼
设
置
方法
与
技巧
分
享
阅读量 515
点赞 0
AUTOCAD
RayLeigh
阻
尼
系数确定方法
阅读量 706
点赞 0
AUTOCAD
车身地板
阻
尼
优化实践:Actran辅助案例
分
析
阅读量 1274
点赞 64
AUTOCAD
楼盖振动舒适度
分
析
中
阻
尼
取值的研究
阅读量 1396
点赞 15
AUTOCAD
Actran:车身地板
阻
尼
优化案例解
析
阅读量 1032
点赞 12
AUTOCAD
汽车研发工程师必看:Actran官方汽车声学数值模拟沙龙开幕
阅读量 1161
点赞 88
AUTOCAD
关于
Fluent
设
定参考值监视升力或
阻
力的体会
分
享
阅读量 530
点赞 0
AUTOCAD
Abaqus
中
阻
尼
设
置
方法详解
阅读量 481
点赞 0
AUTOCAD
Matlab多自由度瞬态动力学强迫
响
应计算程序
阅读量 468
点赞 0
AUTOCAD
ANSYS
与
阻
尼
相关问题探讨(高手请进)
阅读量 431
点赞 0
AUTOCAD
动力
分
析
中
的
阻
尼
问题:深入解
析
与
应对策略
阅读量 607
点赞 0
AUTOCAD
[案例
分
析
]STARCCM+入门系列之——固体颗粒侵蚀
分
析
阅读量 678
点赞 0
AUTOCAD
ABAQUS
阻
尼
设
置
方法
与
技巧
阅读量 555
点赞 0
AUTOCAD
结构动力学
分
析
中
阻
尼
处理的艺术
阅读量 1314
点赞 91
AUTOCAD
Autodesk EAGLE电路
设
计软件
阅读量 472
点赞 0
AUTOCAD
技术文档
格发
许可分析
软件管理系统宣传
软件实现正版化
-格发最专业的解决方案
企业
软件资产
和
License管理
遇到的问题和解决办法
UG许可
资源优化解决方案-
许可不够用
,解决UG盗版,
UG许可
监控,UG律师函
公司使用
盗版SolidWorks
被发函,
solidworks盗版
检测,solidworks 被软件公司查到用盗版,SolidWork价格减少
Teamcenter
无法创建多余账号怎么办?
如何解决
许可不足
问题以提升许可利用率
CATIA
的
license资源
管理-gofar许可优化效果
企业如何进行
合规性管理
收到西门子发来的
UG告知函
怎么办?
Solidworks盗版
被查如何防范?厂商是怎么样查到公司在用盗版,有什么方法可以核实真假?……
热门文章
世界八大最顶尖工业软件强国(中):技术实力与产业布局分析
装甲车辆工程专业工作站服务器配置推荐
[转载]FLUENT中云图旋转、放大、移动操作指南
Autodesk 123D系列:重塑三维技术的创新产品线
初学MSC.fatigue常见问题总结与高手解答集锦
VMworld大会发布VMware vCloud Suite 5.5 新品核心功能解析
微信扫一扫,欢迎咨询~
联系我们
武汉格发信息技术有限公司
湖北省武汉市经开区科技园西路6号103孵化器
电话:155-2731-8020 座机:027-59821821
邮件:tanzw@gofarlic.com
发现
许可分析
许可优化
许可调配
终端软件管理
方案
汽车行业
船舶行业
网络行业
半导体行业
服务
服务保障
软件文章
产品教程
技术文档
关于
关于我们
试用产品
合作伙伴
品牌标志
AI分析
隐私声明
|
使用条款
Copyright © 2023 Gofarsoft Co.,Ltd. 保留所有权利
鲁ICP备14018425号-1
鄂公网安备42011302000881号
遇到许可问题?该如何解决!?
评估许可证实际采购量? 
不清楚软件许可证使用数据? 
收到软件厂商律师函!?  
想要少购买点许可证,节省费用? 
收到软件厂商侵权通告!?  
有正版license,但许可证不够用,需要新购? 
联系方式
155-2731-8020
预留信息,一起解决您的问题
*
 姓名:
*
 手机:
*
 公司名称:
姓名不为空
手机不正确
公司不为空