大自然采用了一种引人入胜的策略来制造高性能的生物材料,例如蜘蛛丝,它通过分层结构呈现出无与伦比的刚度,拉伸强度和韧性组合。 然而,制造具有这种优异性能的合成聚合物仍然是一项艰巨的任务。 受到蜘蛛丝中多嵌段骨架和致密氢键结合以及贻贝贻贝中微妙的铁 -儿茶酸配合物的整合的启发, 南开大学 孙平川教授 团队 提出了一种具有多功能嵌段模块的新型分子设计,以获得具有优异机械性能,自生性的聚合物材料。修复能力和可再加工性。

通过将可逆铁-邻苯二酚(DOPA-Fe 3+ )交联和带有2-脲基-4- [1H]-嘧啶酮(UPy)二聚体作为多功能嵌段的四重H键引 入带有氨基甲酸酯嵌段和半结晶聚己内酯( PCL)嵌段 的分段聚氨酯骨架中来实现。 这两种类型的动态交联结充当牺牲键,可在外部应力负荷下有效地耗散能量,使双重物理交联网络具有更高的韧性和断裂伸长率。

此外,DOPA-Fe 3+ 配合物可以增加PCL的结晶,从而显着提高杨氏模量和拉伸强度。固态NMR揭示了UPy二聚体中四重H键的形成以及DOPA-Fe 3+ 络合物的存在,这限制了流动相的迁移性并增强了PCL域的结晶度。这项工作为开发具有自我修复和可再加工特性的生物启发材料提供了一种可行的方法,此外还兼顾了刚度和韧性的增强。 相关论文以题为 Bioinspired Polyurethane Using Multifunctional Block Modules with Synergistic Dynamic Bonds 发表在《 ACS Macro Letters 》上。
具有高度重复性,模块化氨基酸序列的基于蛋白质的生物聚合物很容易被分段热塑性聚氨酯( PU)模仿,因为其固有的分层微观结构由相分离成离散域的硬链段和软链段组成。以前, 研究团队 通过Diels-Alder交联嵌段聚氨酯报告了受生物启发的高性能PU,具有可回收性,作为蜘蛛丝启发的PU的代表案例。因此,考虑将PU用作UPy和DOPA-Fe模块的骨架,以构建以肽为灵感的聚合物材料。可以想象,利用自我互补的UPy二聚体的动态可逆性以及沿骨架的DOPA-Fe配位复合物的周期性重复结构模块,将使模块化PU与多肽骨架的高动态特性 保持一致。具体而言,本文提出的策略(示意图 1)包括: (1)受丝绸中半晶体结构启发的半结晶PCL片段赋予聚合物独特的应变硬化行为(如蜘蛛丝中观察到的那样);(2)氨基甲酸酯键作为肽主链中酰胺键的作用提供丰富的氢键;(3)UPy基元二聚化,通过生物聚合物链之间物理交联相互作用的启发来增加H键的密度;(4)在DOPA-Fe 3+ 配位键中,贻贝蛋白中可逆的化学交联相互作用有助于贻贝基底线的表皮硬度和延展性 。因此, 团队 使用多功能嵌段模块合成的聚合物被认为是完全具有生物启发性的聚合物材料。这种新的分子设计概念不仅实 现了高性能,即前所未有的刚度和韧性组合,而且还带来了自愈性能和可再加工性。
示意图 1. (a)具有高密度动态键的生物启发嵌段模块聚氨酯示意图,以实现通过四重氢键和DOPA-Fe 3+ 配位键合形成的可逆双重物理交联网络,以及(b)嵌段模块PU的合成途径 –UPy–DOPA–Fe 。
通过拉伸试验分析了四种具有不同嵌段结构的聚氨酯样品的力学性能。拉伸曲线和从拉伸曲线获得的机械参数绘制在直方图中以进行对比(图 1)。显然,通过在PU–UPy分子链中引入DOPA基序,可以提高韧性,杨氏模量,拉伸强度和断裂伸长率,而DOPA–Fe 3+ 配位键的形成则可以进一步增强它们。对于PU–UPy–PEA对照样品,计算得出的PU–UPy–DOPA–Fe的韧性,杨氏模量和拉伸强度分别增加了约1.3倍,2.1倍和1.6倍。此外,还发现PU–UPy–DOPA–Fe和PU–DOPA–Fe具有相似的杨氏模量(图1c) ,而 PU–UPy–PEA和PU–UPy–DOPA的杨氏模量要低得多。这可能是由于DOPA和Fe 3+ 之间的配位键引起的链运动受限制而导致结晶度增加 。
图 1. (a)PU样品的拉伸应力-应变曲线。从PU的拉伸试验中获得的机械性能包括(b)韧性(MJ/m 3 )(根据从零到断裂应变的拉伸应力-应变曲线下的面积计算),(c)杨氏模量(MPa)和 (d)抗拉强度(MPa)。
进行了一系列拉伸实验以检验 UPy与DOPA图案摩尔比不同(φ= nUPy/nDOPA)的PU样品的机械性能。比较此模块化PU和其他高性能PU的机械性能 最近报告的结果如图2所示。可以清楚地观察到,这项工作中PU–UPy–DOPA–Fe的韧性(405.8 MJ/m 3 )和刚度(86.9 MPa)达到了类似PU基材料的最高水平。关于韧性和刚度之间的折衷, 据悉 设计的PU–UPy–DOPA–Fe可能是最好的PU弹性体之一。由于在PU–UPy–DOPA–Fe中形成蜘蛛丝状微相分离结构和高密度氢键的 能力,所有这些都是这项仿生策略巨大潜力和有效性的明确指标。
图 2.参考文献中报道的聚氨酯的韧性与杨氏模量的阿什比图 ( Ashby )。
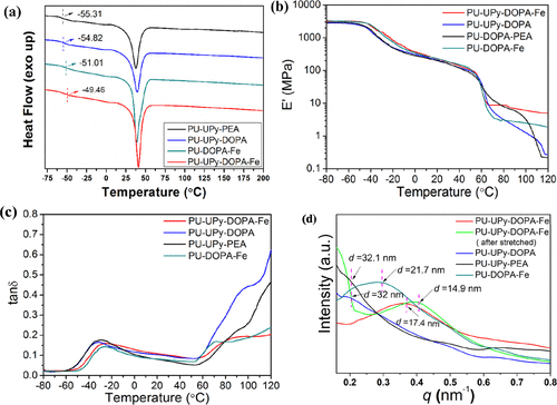
这些 PU样品的热力学行为和热力学行为分别通过差示扫描量热法(DSC),热重分析(TGA)和动态力学分析(DMA)进行了表征。图3a显示了PU样品的DSC雕刻图,与 − 55.3°C的PU–UPy–PEA,PU–UPy–DOPA相比,PU–UPy–DOPA–Fe在 − 49.5°C时表现出最高的玻璃化转变温度(T g )。在-54.8°C时为PU-DOPA-Fe,在-51.0°C中。图3b和3c分别显示了从DMA实验获得的储能模量(E')和耗散因数(tanδ)与所有PU样品的温度之间的关系。 为了评估这些模块化 PU的微区结构的差异,进一步执行SAXS测量(图3d)。
图 3. (a)在氮气氛下以10°C/min的加热/冷却速率对所有PU样品进行DSC示踪。从DMA实验获得的几个PU样品的储能模量(E')(b)和耗散因数(tanδ)(c)作为温度的函数。(d)PU样品的SAXS曲线以及每条曲线上指示的周期长度(d)。
为了探测 PU样品中含有UPy和DOPA的牺牲键的分子间相互作用,并提供铁顺磁性对微畴结构的影响的实验证据,对PU–DOPA–Fe,PU进行了13C CPMAS和1H快速MAS NMR实验如图4a所示–UPy–DOPA和PU–UPy–DOPA–Fe,仅显示PCL的UPy,DOPA和CH2O组的区域进行比较。此外,在图4b中,PU–UPy–DOPA和PU–UPy–DOPA–Fe的魔术角自旋(MAS)频率为55 kHz时,在1H快速MAS光谱中,UPy的酰胺峰在10–14 ppm处存在。确认UPy中的四重H键相互 作用。 PU–UPy–DOPA的静态1H光谱在图4c中仅显示出一个窄峰,其线宽为5.0 kHz,这表明几乎均匀的材料具有较弱的相分离,与SAXS结果一致,而PU–UPy的光谱–DOPA–Fe在底部显示两个重叠的峰,分别由一个窄峰和一个宽驼峰组成,线宽分别为10.0和51 kHz。
图 4. (a)PU–DOPA–Fe,PU–UPy–DOPA和PU–UPy–DOPA–Fe的13C CPMAS NMR光谱。(b)PU-UPy-DOPA和PU-UPy-DOPA-Fe在1 kHz的自旋频率下的1H MAS光谱。在PU–UPy–DOPA–Fe的1H MAS光谱中,UPy的酰胺峰在14 kHz至10 ppm处以较低的30 kHz速度没有任何特征。(c)PU–UPy–DOPA和PU–UPy–DOPA–Fe的静态1H光谱。指出了每个光谱半高处的线宽。
由于丰富的氢键交换(图 5a(I)),PU–UPy–DOPA样品上的刮擦表面可以在80°C的3分钟内迅速愈合(图5a的(I))。图5b显示了PU–UPy–DOPA–DOPA样品的溶解度实验 在室温下,N,N-二甲基形成(DMF)的DOPA-Fe样品。PU样品可以在室温在DMF中溶胀24小时,而在120°C下溶解约15分钟,表明基于UPy二聚体的H键和DOPA-Fe 3+ 配位键的H键的交联网络断开。这些交联的聚氨酯的热加工性和重塑能力通过热压成型工艺得到了进一步证明。最初,将大块PU–UPy–DOPA–Fe样品切成细小颗粒(图5c),然后在10 MPa的压力下于115°C的温度下在模具中热压0.5 h。
图 5. (a)PU–UPy–DOPA(I)和PU–UPy–DOPA–Fe(II)在不同温度下的光学愈合图像。(b)PU–UPy–DOPA–Fe材料在DMF中的溶解度实验:(I)在室温下膨胀24 h;(II)在120°C下溶解15分钟;(III)当冷却至室温时发生胶凝。(c)交联材料PU–UPy–DOPA–Fe前后的应力-应变曲线。
参考文献 : doi.org/10.1021/acsmacrolett.1c00054
版权声明:「 高分子材料科学 」是由专业博士(后)创办的公众号,旨在分享学习交流高分子聚合物材料学等领域的研究进展。上述仅代表作者个人观点。如有侵权或引文不当请联系作者修正。商业转载或投稿请后台联系编辑。感谢各位关注!
免责声明:本文系网络转载或改编,未找到原创作者,版权归原作者所有。如涉及版权,请联系删武汉格发信息技术有限公司,格发许可优化管理系统可以帮你评估贵公司软件许可的真实需求,再低成本合规性管理软件许可,帮助贵司提高软件投资回报率,为软件采购、使用提供科学决策依据。支持的软件有: CAD,CAE,PDM,PLM,Catia,Ugnx, AutoCAD, Pro/E, Solidworks ,Hyperworks, Protel,CAXA,OpenWorks LandMark,MATLAB,Enovia,Winchill,TeamCenter,MathCAD,Ansys, Abaqus,ls-dyna, Fluent, MSC,Bentley,License,UG,ug,catia,Dassault Systèmes,AutoDesk,Altair,autocad,PTC,SolidWorks,Ansys,Siemens PLM Software,Paradigm,Mathworks,Borland,AVEVA,ESRI,hP,Solibri,Progman,Leica,Cadence,IBM,SIMULIA,Citrix,Sybase,Schlumberger,MSC Products...