摘 要储能是推动主体能源由化石能源向可再生能源转变的关键技术,对提升清洁能源消纳,保障电力连续稳定输出,提升火电效率,保障电能质量具有突出作用,是实现多能协同、清洁低碳、安全高效能源体系的重要支撑。本工作主要聚焦新能源场站参与电网一次调频应用场景下的储能系统配置,综合考虑了不同储能系统技术出力特性、储能系统成本、储能系统使用寿命、储能系统经济性等诸多因素,并在考虑储能系统能量及功率平衡、储能荷电率限制、储能出力置信度等多约束目标的基础上,运用多时间尺度小波分析、储能容量迭代优化算法和雨流计数电池寿命预测等数值分析理论,开发出适用于新能源场站参与一次调频的混合储能系统配置方法,并基于MATLAB开发了储能配置专用计算工具。本工作通过一个400 MW风电场参与一次调频场景中储能的配置验证了所开发的混合储能配置方法及工具。
1 风电场与混合储能系统参与电网一次调频要求
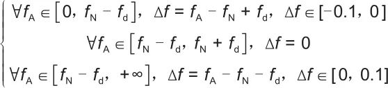
1.1 风电场参与电网一次调频要求
为风电场有功功率初值(MW,在图1中
),
为风电场有功功率额定值(MW)。标准中规定在电网高频扰动情况下,有功功率降至额定出力的10%时新能源场站出力可不再向下调节,图1中标出了10%
对应的位置。
.jpg)
![]() |
(1) |
为新能源场站参与一次调频中所需出力的变化;
为新能源场站初始出力;
为新能源场站调频调差率(一般取值2%);
为新能源场站额定功率;
为电网额定频率;
为频率差。
![]() |
(2) |
为电网的实际频率,
为一次调频的死区。将电网运行时的频率波动数据带入式(2),即可求得不同时刻储能系统所需的出力。
1.2 混合储能参与电网一次调频配置算法
[ n]都可将其小波分解为低频部分 L[ n]和高频部分 H[ n],低频部分 L[ n]在下一层小波分解又可以再次分解为低频部分和高频部分,最后形成多分辨率框架,如图2所示。
.jpg)
可分解为高频分量与低频分量之和,见式(3)
![]() |
(3) |
](
为数据采样频率)、低频频率段为[
]。假设飞轮储能的适用工作频段为[
],
,
。为了保证飞轮储能在一次调频过程中的可靠动作,飞轮储能的工作频段与高频
分量需有交集、需满足式(4)
![]() |
(4) |
。综上小波分析中各个分解层对应关系见式(5)
![]() |
(5) |
(低频及中频分量);
(较高频分量)。
1.3 混合储能系统控制策略
,其中高频分量输入至飞轮储能系统中,低频分量输入至锂电池储能系统中。定义
时,混合储能系统进入充电状态。系统进入充电状态时需考虑:①充电功率是否大于锂电池储能或飞轮储能PCS的最大功率;②此时锂电池储能或飞轮储能的荷电状态(SOC)是否允许其充电。当
时,混合储能系统进入放电状态,此情况下同样需要考虑混合储能系统在功率、SOC等方面的约束。
.jpg)
为锂电池储能或飞轮储能系统的容量;
为锂电池储能或飞轮储能系统的效率;
为储能系统单次参与一次调频的持续时间;SOC为锂电池储能或飞轮储能系统的荷电率;SOC_min和SOC_max分别为储能系统SOC允许的上、下限值。
2 考虑电池循环寿命约束的风电场混合储能配置模型
2.1 混合储能系统等效循环寿命模型
![]() |
(6) |
为第 i次放电过程中电池的实际放电深度;
为实际放电深度所对应的实际循环次数;
为电池的额定放电深度(一般设为1);
为额定放电深度所对应的额定循环次数。基于公式(6),电池寿命衰减率可表示为式(7)
![]() |
(7) |
表示第 i次放电深度对应的电池循环次数。若电池经历了 n次循环,电池剩余寿命可表示为式(8)
![]() |
(8) |
2.2 目标函数
![]() |
(9) |
为储能系统初始总成本;
为储能系统的商业贷款比例; R为储能系统的年资金使用成本; Y为储能系统的运营年限,可基于雨流计数法和储能系统荷电状态变化曲线求得;
为储能系统的运维成本;
为储能系统的更换成本;
为储能系统参与一次调频所获收益。
为约束条件满足的概率,
为机会约束条件,
为储能系统出力的置信水平。在上述目标函数的基础上,本工作通过计算内部收益率(IRR)确定最优的储能配置方式,IRR的计算公式参看式(10)。
![]() |
(10) |
.jpg)
.jpg)
![]() |
(11) |
)内的出力,即式(12)
![]() |
(12) |
![]() |
(13) |
为锂电池的功率成本系数;
为锂电池的容量成本系数;
为锂电池储能系统的额定功率,MW;
为锂电池储能系统的额定容量,MWh;
为飞轮的功率成本系数;
为飞轮的容量成本系数;
为飞轮的额定功率,MW;
为飞轮的额定容量,MWh。
![]() |
(14) |
为贷款年利率;
为每年的还款次数; Y为还款年限。
![]() |
(15) |
为锂电池的功率运行维护成本系数;
为锂电池的容量运行维护成本系数;
为飞轮的功率运行维护成本系数;
为飞轮的容量运行维护成本系数。
![]() |
(16) |
和
分别为锂电池储能系统、飞轮系统所需更换的次数。
为
![]() |
(17) |
为储能参与一次调频的单价(元/MWh),
分别为 t时刻参与一次调频时锂电池储能系统、飞轮储能系统提供的电量。
2.3 约束条件
![]() |
(18) |
为置信水平为 α下的风场一次调频所需出力。
锂电池储能功率约束:![]() |
(19) |
飞轮储能功率约束:![]() |
(20) |
为 t时刻锂电池储能系统的功率;
为 t时刻锂电池储能系统的剩余容量;
为锂电池储能系统的额定容量;
为 t时刻飞轮储能系统的功率;
为 t时刻飞轮储能系统的剩余容量;
为飞轮储能系统的额定容量;
分别为锂电池储能、飞轮储能系统的效率;
为储能系统单次参与一次调频的持续时间。
锂电池储能SOC约束:![]() |
(21) |
锂电池储能SOC约束:![]() |
(22) |
3 混合储能系统配置工具
.jpg)
.jpg)
表1 已有储能配置软件与本工作所开发储能配置软件对比
4 算例分析
.jpg)
为99%,对应3 σ,锂电池储能的功率为30.9 MW;同理可计算得出飞轮储能功率为9.1 MW。
.jpg)
47 MWh;飞轮储能功率为9.06 MW时,容量需为
35 MWh。混合储能系统中锂电池、飞轮储能SOC变化情况如图10、图11所示。
.jpg)
.jpg)
.jpg)
表2 混合储能系统参数
表3 各储能配置情况下系统的寿命、成本及收益(未考虑最低10年运营年限)
表4 各储能配置情况下系统的寿命、成本及收益(考虑最低10年运营年限)
5 结论
第一作者:杨文强(1970—),男,博士,研究方向为储能系统,E-mail:20029587@chnenergy.com.cn;
通讯作者:常彬,高级工程师,研究方向为储能系统,E-mail:20052143@chnenergy.com.cn。
文章来源:储能科学与技术
.jpg)
.jpg)
.jpg)
.jpg)
.jpg)
.jpg)
.jpg)
.jpg)
.jpg)
.jpg)
.jpg)
.jpg)
.jpg)
.jpg)
.jpg)
.jpg)
.jpg)
.jpg)
.jpg)
.jpg)
.jpg)
.jpg)