我们提出了一种处理傅里叶变换的方法,其并不需要二次多项式相位项的抽样,而是用解析的方法处理。我们提出该理论的同时也给出了几个例子证明其潜力。
1.简介
物理光学建模需要频繁地从空间转换到角频域,反之亦然。这可以由电场和磁场分量的傅里叶变换得到。所以,快速傅里叶变换(FFT)算法成了快速物理光学建模的支柱[1]。FFT技术的数值计算量与场分量复振幅所需采样点的数量近似成线性关系。在光学中,我们经常处理有强波阵面相位的场分量,例如:球形。但是由于2π模,平滑的波阵面相位的复抽样导致了大量的数值计算工作,甚至在FFT中也是如此。
2.理论
2.1 场的表征:提取二次相位
我们从空间域的符号开始,在本文中我们使用符号
对应6个场分量,也就是V = (E, H):
(1)
在公式1中,我们假设场
有两部分:衍射场
和一个平滑的波阵面相位exp(iψ(ρ))。对于得到的结果,我们从波阵面相位中提取二次相位exp(iψ(ρ))并且将余下的部分认为是余项场
。假设exp(iψ(ρ))可由其实数系数C和D = (Dx, Dy)给出:
(2)
显然,在强二次相位情况中,全场
比余项场需要更多的抽样量。所以,我们的目标是通过FFT且无二次相位项exp(iψ(ρ))抽样的情况下,计算V(ρ)的傅里叶变换。
2.2.半解析傅里叶变换
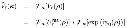
从卷积定理可知:
(3)
通常来说,项
必须进行数值计算处理。另一方面,从数学角度[2]我们可知:
(4)
适用于任何复
,只要R{a} ≥ 0且a ≠ 0。
在该数学工具的帮助下,项κ[exp(iψ(ρ))]的解析表征可以推导出来:
(5)
其中:
(6)
其中常数项
。
将公式5带入公式3,通过改变卷积和傅里叶变换积分的阶次,我们发现
可以表示为:
(7)
其中:
(8)
这里,
和坐标项
。公式7-8是半解析傅里叶变换的数学表达式。它表示全场的FFT可被两个余项场的FFT替代。
3.数值仿真
这些概念在物理光学建模和设计软件Wyrowski VirtualLab Fusion[3]中实现。
3.1.有效性测试1:纯二次相位
在第一组测试中,我们准备了余项场
,其幅度信息如图1所示,且相位为零。我们将不同的二次相位项exp(iψq(ρ))与之相乘,组成
。然后我们分别对全场
应用FFT和半解析FFT。
.png)
图2展示了不同情况下FFT和半解析FFT所需的采样点。可以发现当场有强二次相位时,半解析FFT需要比FFT少得多的抽样点。
.png)
在图3中我们给出了三个典型位置的角频谱的振幅。解释了波阵面相位的物理意义,因此当波阵面相位非常小时,在FT中衍射效应占主导地位。否则,当波阵面相位增加时,FT展现了越来越多的几何特征。
.png)
3.2 有效性测试2:球形相位
在第二组中,我们将乘上另一种相位:球形相位
。
不像测试1,我们只能用解析方法处理二次部分而不能处理整个球形相位。所以,余项场的相位不再是零而是球形和二次相位之间的差值,并且它会随着球半径r的减小而越来越大。
不同情况下FFT和半解析FFT的抽样点于图4给出。结果显示在强球形相位情况下,由于相位差,
需要更多的抽样点,这导致了半解析FT的抽样数量同样增加了。
.png)
4.结论
我们论证了半解析FFT的推导并且展示了几个数值例子。事实表明,半解析FFT的采样仅取决于余项场。在波阵面相位较强的场中,半解析FFT需要的采样点明显较少。
参考文献
[1] E. O. Brigham, “The fast Fourier transform and its applications.” (1988).
[2] L. Mandel and E. Wolf, Optical coherence and quantum optics (Cambridge university press, 1995).
[3] “Wyrowski VirtualLab Fusion, developed by Wyrowski Photonics UG, distributed by LightTrans GmbH,”.