气囊工作过程的数值模拟一般有两种方法:(1)基于传统的均匀压力数学模型,它采用控制体积法(Control Volume Method,CV),气囊体积由其单元围成,且不需要建立充气装置的模型,而是通过质量流量和温度两个参数来描述从充气装置所排出的气体,它们均为时间的函数,从而可以计算出流入应急气囊的气体总量。该方法不拘泥于流场细节,模型简单,可以节省大量计算时间在流场影响不大的缓冲过程数值模拟,但是无法准确描述充气初期气囊外形及流场的变化。(2)任意拉格朗日-欧拉(简称 ALE 法,Arbitrary Lagrangian-Eulerian)流固耦合方法,当流场的变化对结构外形产生很大影响时,气囊内流场的模拟就显得极为重要,该方法可以很实际描述气囊外形及流场变化。但是此方法对建模要求高,计算成本大,不易成功。
CV模型
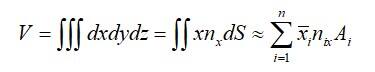
该模型由Wang和Nefske于1988年提出,认为囊内压力由理想气体状态方程决定,不拘泥于流场内部细节。在CV模型中,每一时间步气囊的控制体积V可通过格林积分定理得到,即
控制体积方法相对任意拉格朗日-欧拉方法来说,比较简单,可以节省大量计算时间,本项目中所用的方法就采用控制体积方法来进行计算的。
#气囊有限元模型理论
在气囊的耐撞性冲击研究中,我们将采用非线性有限元软件LS-DYNA对单室气囊和气囊式火星软着陆过程进行仿真分析。为了计算缓冲过程中不同时刻的气囊的压力、体积和温度等热力学参数,我们选用LS-DYNA的控制体积算法进行计算。在LS-DYNA的气囊控制体积算法中有
在软着陆过程中,气囊织物在高压气流充胀下产生的变形都为大变形,虽然应变比较小,但位移很大。这时平衡条件应如实地建立在变形后的位移上,以考虑变形对平衡的影响。同时应变表达式与小变形分析相比也应包括位移的二次项。这样一来,平衡方程和几何关系都由小变形中的线性变成了非线性。相关知识可参考大变形理论。
.gif)
想学习更多的知识,请联系我们!
微信公众号:名称:“DR有限元”
号码:“hello_cae”