来源:互联网 作者:吴琦
关键字:船舶运动 PID控制 转向模型
本文在传统控制的基础上对船舶运动控制方法进行的进一步探讨与研究,利用PID控制方法对船舶运动的航向进行反馈控制,使其在受风浪等外界环境干扰的情况下,具有良好好的控制效果。
1 课题研究的背景及意义
船舶航向控制系统的可靠性及性能特点直接关系着航行的安全性和经济性。从20世纪20年代PID控制应用于船舶航向控制以来,经过实践的不断积累和无数高科技人才的不断探索与完善,其已经成为船舶航向控制领域最基本、最经典的方法。
船舶航向控制系统是一个非线性的、外界环境干扰复杂的系统,从理论上很难用一个精确的数学模型来对其进行描述。在一些特殊的场合、航道复杂或者进行避碰操作的时候甚至需要极富经验的舵手进行人工操作。而较为精确的PID控制经过多年的摸索和完善可以极大程度的从经济、环保等方面满足现代船舶航行控制的要求。
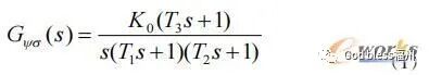
2 船舶转向模型推导
在确定船舶模型的时候采用野本模型的原因主要是因为参数容易换算出深和航速的关系,但是由于二阶模型在转化为状态空间模型时不便于加上非线性力以及风浪的干扰,于是我们采用野本的三阶模型:
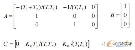
此三阶模型公式为传递函数的形式,为了在将来的仿真过程中更为方便地添加非线性的风、浪等干扰,必须把传递函数的形式转化为拥有三个自由度的状态空间数学模型式,而转化后的数学模型参数矩阵为:
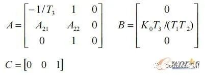
将上述的的参数矩阵转化为标准形式:
其中:
转化为标准形式后,可以更为方便地加上非线性力和风浪的干扰。
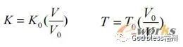
有野本模型的K、T指数计算公式可以得到,K与航速V呈线性关系,T与V呈反线性关系,即:
且时间常数T0=T1+T2-T3,V0为额定营运航速,则最终的传递函数为:
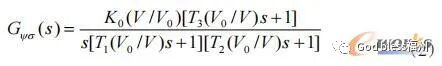
为了便于比较不同船舶之间的操纵性,同时也是为了进一步简化船舶模型的传递函数,我们常常将操纵性指数K,T作无因次化处理,从而消去其量纲的处理,即:
在这两个式子中,L为船长,单位为m;vs为船速,单位为m/s。
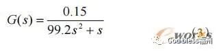
本次论证中所使用的船舶原型为一艘大型油轮,其主要参数进过查阅资料可以得到如下:
总吨位 222000t 船长 290m 船宽 48.2m
吃水深度 18.5m 航速 15.5kn
船舶操纵性参数:K'=2.80 T '=5.30
由上述的推导及参数的确定可以得到所选油船最终的传递函数为:
3 船舶PID运动控制仿真
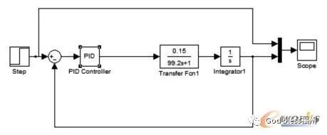
在进行整个系统的程序流程图搭建之前,我们先要确定系统的原理。在整个系统中输入量r(t)采用的是给定的阶跃信号,而中间的比例、积分、微分环节,我们采取的是Matlab自带的PID控制器。而图中的过程对象,在本次设计的实例之中采用的是在前文中已经经过计算得出的船舶模型传递函数,其输出值则和给定一起连接在一个示波器上,通过对示波器的观察就可以得到整个系统的控制效果。
在Matlab中创建一个新的m文件,再打开Simulink控件库,把需要的控件逐个拖拽到m文件内,再进行控件间的连接。连接好了以后,我们可以得到如图1所示的程序流程图:
图1 PID控制程序流程图
对于整个PID的控制系统最为关键的是对PID控制器内部三个参数的设定。而对于参数的设定是有一定技巧和规则的。
PID的参数是更具被控制的对象的惯量来确定的。当被控制的量为大惯量时,一般P可以再10以上,I为3-10之间,D为1左右。而当被控制的对象为小惯量时,一般只是使用PI控制,P为1-10之间,I为0.1-1之间,而D等于零。这些参数的具体指责需要在现场进行调试时才能修正到较好的数值从而得到最佳的控制效果。
而参数的具体操作过程可以有以下几种具体的操作流程。我们可以先让调节器的参数积分系数为0,同时实际的微分系数为0,控制系统投入闭环的运行,由小到大改变比例系数I,让扰动的信号作阶跃的变化,即给定值为阶跃信号。再观察控制过程,直到获得满意的控制过程为止。再取比例系数为当前的数值乘以0.8左右,由小到大增加积分系数,同样让扰动的信号作阶跃的辩护啊,直至求得满意的控制过程。积分系数保持不变,改变比例系数,观察控制过程中控制的效果有无改善,如果有改善则继续按照原有的节奏调整,直到调试的结果满意为止。否则,将原比例系数增大一些,再行调整积分系数,力求改善控制过程。如此反复的尝试多次,直到找到令人满意的比例系数和积分系数为止。引入适当的实际微分系数和实际微分时间,此时可以适当的增大比例系数和积分系数。和前述的各个步骤相同,微分时间的整定也是需要反复调整的,知道控制过程满意为止。在参数的调整过程中仿真系统所采用的PID调节器与传统的工业PID调节是有所不同的,各个参数之间相互隔离,互不影响,因而用其观察调节规律十分方便。
在进行参数的调节是可以使用一种更加简洁的方法,即把积分值调节的非常大,比较在几千以上,使得积分基本不起什么作用,而把微分值设定为0。调节比例参数,使得出现的超调量比较小,如果没有超调量,则适当的加大比例参数。再慢慢的减少积分值,使得系统静差能比较快的减小,并且不会出现周期性震荡,如果出现周期性的震荡,则增大积分值。使用比例参数自适应功能有增加系统的快速响应及减少系统震荡。微分值约为积分值的0.1-0.2之间,如果系统扰动比较大则应该吧微分的参数设定的小一些。
按照以上所述的PID参数调节的方法,经过多次的尝试之后可以确定此次设计仿真所设定的PID控制器的内部参数比例参数为0.13,积分系数为0,微分系数为13.3。完成PID控制器的参数设计后即完成了整个程序流程图的搭建。
完成程序流程图的搭建之后,把仿真的时间设定在1000s,点击运行按钮后观察到示波器上给定值和控制值的对比。
4 结语
由仿真结果我们可以看到,在具有代表性的传统控制方法,即PID的方法控制之下,整个系统再通过一个较长时间的调整之后也可以达到平衡的状态。但是这个调整的时间过于的漫长,可得为700s左右,即整个系统的响应时间过长。为了减小系统的响应时间,我们可以对PID调节器的比例参数进行调节,但是事实证明,在调节比例参数的过程中又会造成系统的超调量过大,系统很难再第一时间达到稳定的状态。同时在对PID控制器内部的三个参数的设定也是一个极为复杂且繁琐的过程,在整个调试的过程中要通过多次的尝试。其只有一个传统的经验性的确定方法,无法得到一个合理的数学化的公式以便于用户的设计。这些都是传统的控制方法在船舶航向控制方面所有的天然的劣势。
所以我们在接下来的工作中希望能够更多地采集实船动态数据,进一步完善计算模型和参数,以期希望得到更加良好的控制效果和更加简单的控制、调试方法。
本文来源于互联网,天佑有限元本着传播知识、有益学习和研究的目的进行的转载,为网友免费提供,并已尽力标明作者与出处,如有著作权人或出版方提出异议,本站将立即删除。如果您对文章转载有任何疑问请告之我们,以便我们及时纠正。联系方式:QQ785980159,邮箱785980159@qq.com








