参考文献是《带有T型腔的MIM 波导的法诺共振特性研究》-吴迪
在之前的第2篇文章和第3篇文章中介绍了金纳米颗粒的局域表面等离子体共振LSPR。在我看来,有个东西叫spp效应,与它像兄弟关系。spp就是 传导型 表面等离子体共振,LSPR是 局域型 表面等离子体共振。感兴趣的可以学下这两本书。

在我看论文时发现,LSPR的文章多如牛毛,而SPP方面的文章就相对来说少见了。今天说的MIM波导正好与SPP有点相关.
下面是论文的结果 VS 我的结果
1,慢光效应的延时时间计算和等效折射率
上面这三张图就是该复现该论文的难点,光学延迟时间和群折射率计算公式如下
难点在于要对图7a求出的曲线,首先求每点的切线斜率,然后所有点的切线斜率合在一起得到图7b。那么问题是该怎么求各点的切线斜率?翻翻高等数学书导数的定义就知道了。这里上面三幅图我是在matlab中绘制的,主要原因是在comsol中还没法画出图7a。
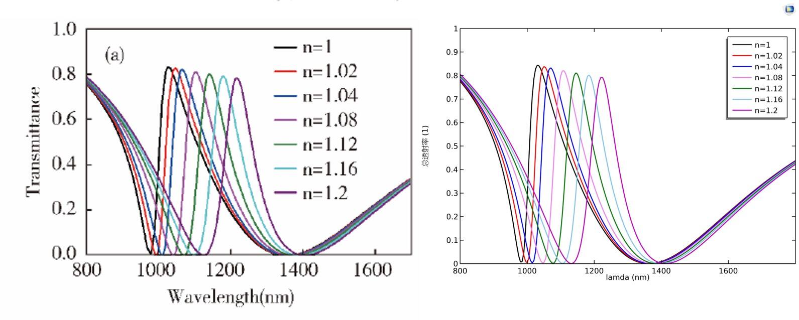
2,求MIM波导的透射率。这是MIM波导方面文章的必仿内容。





下面是付费内容,包含上面所有图片的comsol模型以及对应的matlab代码

