Wu和Kolymbas(1990)首先创建了亚塑性理论的基本方程,他用一个简单的非线性张量函数来模拟非弹性材料的性能,其应力率由两项组成:一项跟应变率呈线性关系,另一项跟应变率呈非线性关系,其非线性关系通过应变率的范数体现出来。Wu和Bauer(1994)结合无粘性土的变形特性,对亚塑性理论基本方程中关于应变率的线性部分和非线性部分的具体形式作了一些改进,于年提出了第一个较为实用的亚塑性模型—四参数亚塑性模型,又称为Wu-Bauer亚塑性模型。为考虑密实度对土体响应的影响,Wu等(1996)进一步将临界状态理论引入到亚塑性模型中。随后,为了更好的描述临界应力状态,Gudehhus(1996)、Bauer(1996)、Wolffersdorff(1996)将不同的屈服准则引入到模型中,大大提升了模型的模拟能力。为了更好的模拟循环荷载,Niemunis和Herle(1997)粒间应变张量的概念引入到亚塑性模型中。
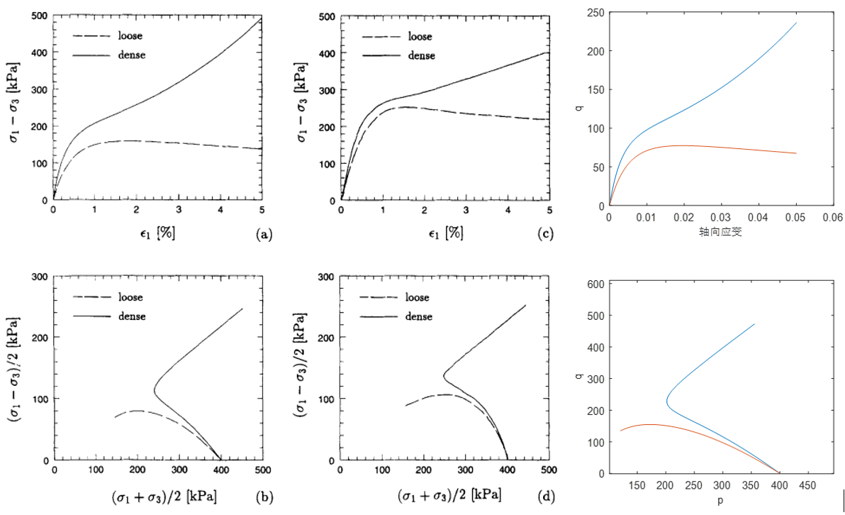
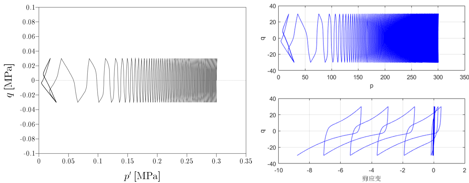
若希望学习亚塑性模型的更多内容,可以观看我的可从。以下是不同版本的亚塑性模型对排水三轴压缩试验、不排水三轴压缩试验以及循环三轴试验的模拟结果展示。左侧是论文中的实验及模拟结果,右侧是我利用编写的matlab程序得到的模拟结果作为对比。付费内容是我编写的亚塑性模型matlab程序,umat程序以及参考文献,上述各版本的亚塑性模型均有。需要的同学可以购买(可以私戳我通过ZFB购买,可优惠20%)。


图1.Wu-Bauer亚塑性模型对排水三轴压缩实验模拟结果(密砂)

图2. Wu-Bauer亚塑性模型对排水三轴压缩实验模拟结果(松砂)

图3. Wu-Bauer亚塑性模型对排水三轴压缩实验模拟结果(松砂)

图4. 粒间应变张量亚塑性模型对排水三轴压缩实验模拟结果