计算如图所示公路桥梁在车辆荷载作用下的时程动力响应,桥梁基本信息如下:钢筋混凝土结构桥梁,混凝土强度为C30。桥梁总长45米,第一跨15米,第二跨30米。桥梁横截面为三孔箱形截面,截面高度1.66米,宽度10.25米,见下图.
1.具有分布质量体系的无阻尼振动方程建立
将图1中的公路桥梁简化成如图2所示的计算模型,左边支座为固定铰支座,跨中和右边的支座为滑动铰支座,结构是一次超静定连续梁。为了真实的反应梁的动力特性,认为该梁是连续弹性体,并假设梁上受到广义的动力荷载p(x,t) 。
在梁ABC上取任意一微元段,并对这一微元进行受力分析,如图3所示。考虑作用在图3中梁微元上的受力平衡,很容易可以得出这一结构体系的运动方程,与离散结构体系推导动力方程的方法基本一致,建立全部竖向作用力的平衡方程,可以推导出第一个动力平衡方程:
式中,V(x,t)是梁微元左端的剪力, fI(x,i)是梁微元上横向惯性力的合力,该惯性力等于微元质量和微元加速度的乘积:
2.具有分布质量体系无阻尼自由振动分析
2.1方程的求解
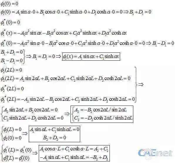
2.2引入边界条件进行求解
将方框内的表达式作为计算条件如下所示:
2.3 计算梁的前四阶自振频率
对梁的自由振动计算采用解析解和有限元分析两种方法,并对两种方法的计算结果进行比对分析。有限元计算采用ANSYS软件进行电算。计算结果见表1。有限元计算的结果略大于解析解,随着振型数的增加,误差逐阶递增。从计算结果来看,对于一个特定体系,较高阶的固有周期的精度降低了。分析精度可以随着单元划分的增加来改善。但是,划分密度达到一定时精度就不在增加了,这一结论在Anil K.Chopra 的Dynamics of Structures:Theory and Applications Structures and Earthquake Engineering一书中有提到。









