许可优化
许可优化
产品
产品
解决方案
解决方案
服务支持
服务支持
关于
关于
软件库
当前位置:服务支持 >  软件文章 >  Ansys汽车气动噪声仿真:数值模拟与实例分析

Ansys汽车气动噪声仿真:数值模拟与实例分析

阅读数 583
点赞 0
article_banner
随着车辆性能的提高及高等级公路的建设,车辆的速度越来越快,车辆外流场的气动噪声以车速的6次方的数量增长。因而,当车辆的其它噪声得到有效的控制后,车辆的气动噪声就变得尤为重要了。70年代研究人员发现,车速为 70km/h的情况下,气动噪声的范围为62~78dB;而在速度为110km/h的情况下,气动噪声的范围达到80~90dB。新的研究表明,车速超过100km/h,气动噪声对车外噪声的影响己超过了其它噪声。

数值模拟方法可在新车设计初期的造型阶段进行气动噪声的预测,为选型及造型参数修改提供依据,从而可以较早地得到较理想的产品,避免产品缺陷。

湍流模型的选择

气动噪声模拟可以选择几种不同的数值方法,大涡模拟可以得到精确的模拟效果,但要求生成的网格质量好,计算比较耗时。在产品设计的初始阶段,往往需要噪声的大致分布情况,基于模型的噪声源方法可以解决这一问题。

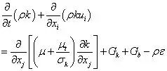
模型的湍流动能输运方程:

640.webp.jpg

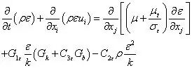
湍流动能耗散率输运方程:

640.webp (1).jpg

式中:

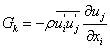
  • Gk为平均速度梯度产生的湍流动能

640.webp (2).jpg
  • Gb为浮力产生的湍流动能

640.webp (3).jpg
  • β为热膨胀系数

640.webp (4).jpg
  • μt 为湍流粘度

640.webp (5).jpg
  • σkσtkε的湍流普朗特常数。

根据经验,模拟中使用的常数分别取值为:=0.09,σk=1.0,σε=1.3,C1ε=1.44,C2ε=1.92,C3ε=1。

基于公司现在对气动噪声的要求,选择模型是比较适宜的。

模型网格的划分和计算域的建立

模型是在CATIA软件上建立的,然后导入ICEMCFD软件中进行网格划分。为了提高计算的效率,对模型的底部进行了简化处理。

根据经验,流场仿真计算所取的计算域到达一定的大小时,汽车的流场就不再受计算域大小的限制。假设汽车模型长为L,宽为W,高为H,则计算域的取法为汽车前部取3L,侧面取4W,上部取5H,汽车后部取7L

为了解决汽车求解域大,网格数目多的难点,按照离车身的距离不同,网格的大小也不同。离车身近的区域网格划分比较密,使之能够清楚的表现车身表面附近的细致情况;而远离车身的区域,网格可以适当的稀疏,以减少网格的数量,节约计算时间。最终网格划分结果如图1所示,网格数1369839。

640.webp (6).jpg

                                                                              图1 网格划分结果

  • 入口边界:入口边界为速度边界。

  • 出口边界:出口边界为压力边界。

  • 地面边界:假设汽车行驶的工况,在静止的空气中(无风条件下)、平直的路面上等速直线运动。这样汽车与地面,汽车与空气的相对速度均为汽车行驶速度。这种工况在计算机上进行模拟,通常用均匀气流流过汽车模型来模拟行驶的汽车相对于静止的空气运动,显然这导致了附面层问题:运动的气流在静止的地面会产生附面层。而实际汽车行驶时,地面附面层是不存在的,只存在车身表面的附面层。为了消除在计算机模拟中的地面附面层的影响,在计算模拟时采用了移动壁面边界的做法。

  • 纵向对称面:对称边界。

  • 顶面和侧面:静止壁面边界条件。


计算结果与分析

由于车速超过100km/h,气动噪声比较明显,所以我们选择车速100km/h和140km/h作对比。

用CFX软件作求解器和后处理工具,从图2可以看出,后视镜区域、车头、顶盖、轮胎处及侧围后部是声压比较大(大于75dB)的地方,车身表面声压的峰值81dB。从图3可以看出,后视镜区域、车头、前挡风玻璃、顶盖、B柱、C柱、轮胎处及侧围后部是声压比较大(大于75dB)的地方,车身表面声压的峰值84dB。相比前一种工况,声压较大的区域扩大了,声压的峰值提高了3dB。

640.webp (7).jpg

                                                                     图2 车身表面声压图(u=100km/h)

640.webp (8).jpg

                                                                         图3 车身表面声压图(u=140km/h)


结  论

通过分析可以看出,噪声较大的区域多发生在气流分离,湍流运动比较剧烈的地方,因此优化外形设计,减少突出物对气流分离的影响是降低气动噪声的重要方法。

不同速度下,车身表面声压的分布图,可以比较直观地看到车身表面声压较大的地方。车速提高了40km/hr,声压的峰值提高了3dB。


免责声明:本文系网络转载或改编,未找到原创作者,版权归原作者所有。如涉及版权,请联系删

武汉格发信息技术有限公司,格发许可优化管理系统可以帮你评估贵公司软件许可的真实需求,再低成本合规性管理软件许可,帮助贵司提高软件投资回报率,为软件采购、使用提供科学决策依据。支持的软件有: CAD,CAE,PDM,PLM,Catia,Ugnx, AutoCAD, Pro/E, Solidworks ,Hyperworks, Protel,CAXA,OpenWorks LandMark,MATLAB,Enovia,Winchill,TeamCenter,MathCAD,Ansys, Abaqus,ls-dyna, Fluent, MSC,Bentley,License,UG,ug,catia,Dassault Systèmes,AutoDesk,Altair,autocad,PTC,SolidWorks,Ansys,Siemens PLM Software,Paradigm,Mathworks,Borland,AVEVA,ESRI,hP,Solibri,Progman,Leica,Cadence,IBM,SIMULIA,Citrix,Sybase,Schlumberger,MSC Products...

相关文章
QR Code
微信扫一扫,欢迎咨询~
customer

online

联系我们
武汉格发信息技术有限公司
湖北省武汉市经开区科技园西路6号103孵化器
电话:155-2731-8020 座机:027-59821821
邮件:tanzw@gofarlic.com
Copyright © 2023 Gofarsoft Co.,Ltd. 保留所有权利
遇到许可问题?该如何解决!?
评估许可证实际采购量? 
不清楚软件许可证使用数据? 
收到软件厂商律师函!?  
想要少购买点许可证,节省费用? 
收到软件厂商侵权通告!?  
有正版license,但许可证不够用,需要新购? 
联系方式 board-phone 155-2731-8020
close1
预留信息,一起解决您的问题
* 姓名:
* 手机:

* 公司名称:

姓名不为空

姓名不为空

姓名不为空
手机不正确

手机不正确

手机不正确
公司不为空

公司不为空

公司不为空