当前位置:服务支持 >  软件文章 >  阻抗匹配与变换:原理、应用与设计技巧

阻抗匹配与变换:原理、应用与设计技巧

阅读数 7
点赞 0
article_banner

阻抗匹配是无线电技术中常见的一种工作状态,它反映了输入电路与输出电路之间的功率传输关系。当电路实现阻抗匹配时,将获得最大的功率传输。

反之,当电路阻抗失配时,不但得不到最大的功率传输,还可能对电路产生损害。阻抗匹配常见于各级放大电路之间、放大器与负载之间、测量仪器与被测电路之间、天线与接收机或发信机与天线之间,等等。例如,扩音机的输出电路与扬声器之间必须做到阻抗匹配,不匹配时,扩音机的输出功率将不能全部送至扬声器。

如果扬声器的阻抗远小于扩音机的输出阻抗,扩音机就处于过载状态,其末级功率放大管很容易损坏。反之,如果扬声器的阻抗高于扩音机的输出阻抗过多,会引起输出电压升高,同样不利于扩,音机的工作,声音还会产生失真.因此扩音机电路的输出阻抗与扬声器的阻抗越接近越好。

又例如,无线电发信机的输出阻抗与馈线的阻抗、馈线与天线的阻抗也应达到一致。如果阻抗值不一致,发信机输出的高频能量将不能全部由天线发射出去。这部分没有发射出去的能量会反射回来,产生驻波,严重时会引起馈线的绝缘层及发信机末级功放管的损坏。为了使信号和能量有效地传输,必须使电路工作在阻抗匹配状态,即信号源或功率源的内阻等于电路的输人阻抗,电路的输出阻抗等于负载的阻抗。

测试电压

在一般的输入、输出电路中常含有电阻、电容和电感元件,由它们所组成的电路称为电抗电路,其中只含有电阻的电路称为纯电阻电路.下面对纯电阻电路和电抗电路的阻抗匹配问题分别进行简要的分。

1、纯电阻电路

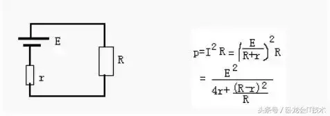
在中学物理电学中曾讲述这样一个问题:把一个电阻为R的用电器,接在一个电动势为E、内阻为r的电池组上(见图1),在什么条件下电源输出的功率最大呢?当外电阻等于内电阻时,电源对外电路输出的功率最大,这就是纯电阻电路的功率匹配。假如换成交流电路,同样也必须满足R=r这个条件电路才能匹配。

2、电抗电路

电抗电路要比纯电阻电路复杂,电路中除了电阻外还有电容和电感.元件,并工作于低频或高频交流电路。

在交流电路中,电阻、电容和电感对交流电的阻碍作用叫阻抗,用字母Z表示.其中,电容和电感对交流电的阻碍作用,分别称为容抗及和感抗而.容抗和感抗的值除了与电容和电感本身大小有关之外,还与所工作的交流电的频率有关。

值得注意的是,在电抗电路中,电阻R,感抗而与容抗双的值不能用简单的算术相加,而常用阻抗三角形法来计算(见图 2)。因而电抗电路要做到匹配比纯电阻电路要复杂一些,除了输入和输出电路中的电阻成分要求相等外,还要求电抗成分大小相等符号相反(共轭匹配);或者电阻成分和电抗成分均分别相等(无反射匹配)。这里指的电抗X即感抗XL和容抗XC之差(仅指串联电路来讲,若并联电路则计算更为复杂)。

满足上述条件即称为阻抗匹配,负载即能得到最大的功率。阻抗匹配的关键是前级的输出阻抗与后级的输入阻抗相等。而输入阻抗与输出阻抗广泛存在于各级电子电路、各类测量仪器及各种电子元器件中。那么什么是输入阻抗和输出阻抗呢?

输入阻抗是指电路对着信号源讲的阻抗.如图3所示的放大器,它的输入阻抗就是去掉信号源E及内电阻r时,从AB两端看进去的等效阻抗。其值为Z=UI/I1,即输入电压与输入电流之比。对于信号源来讲,放大器成为其负载.从数值上看,放大器的等效负载值即为输入阻抗值。输入阻抗值的大小,对于不同的电路要求不一样。

电子设备的修复

例如:万用表中电压挡的输入阻抗(称为电压灵敏度)越高,对被测电路的分流就越小,测量误差也就小.而电流挡的输入阻抗越低,对被测电路的分压就越小,因而测量误差也越小。

对于功率放大器,当信号源的输出阻抗与放大电路的输入阻抗相等时即称阻抗匹配,这时放大电路就能在输出端获得最大功率。输出阻抗是指电路对着负载讲的阻抗。如图4中,将电路输入端的电源短路,输出端去掉负载后,从输出端CD看进去的等效阻抗称为输出阻抗。如果负载阻抗与输出阻抗不相等,称阻抗不匹配,负载就不能获得最大的功率输出。输出电压U2和输出电流I2之比即称为输出阻抗。

输出阻抗的大小视不同的电路有不同的要求。例如:电压源要求输出阻抗要低,而电流源的输出阻抗要高。对于放大电路来讲,输出阻抗的值表示其承担负载的能力。通常输出阻抗小,承担负载的能力就强。

如果输出阻抗与负载不能匹配时,可加接变压器或网络电路来达到匹配.例如:晶体管放大器与扬声器之间通常接有输出变压器,放大器的输出阻抗与变压器的初级阻抗相匹配,变压器的次级阻抗与扬声器的阻抗相匹配.而变压器通过初次级绕组的匝数比来变换阻抗比。

在实际的电子电路中,常会遇到信号源与放大电路或放大电路与负载的阻抗不相等的情况,因而不能把它们直接相连.解决的办法是在它们之间加入一个匹配电路或匹配网络。

最后要说明一点,阻抗匹配仅适用于电子电路。因为电子电路中传输的信号功率本身较弱,需用匹配来提高输出功率。而在电工电路中一般不考虑匹配,否则会导致输出电流过大,损坏用电器。

阻抗匹配概念

阻抗匹配是指负载阻抗与激励源内部阻抗互相适配,得到最大功率输出的一种工作状态。对于不同特性的电路,匹配条件是不一样的。

在纯电阻电路中,当负载电阻等于激励源内阻时,则输出功率为最大,这种工作状态称为匹配,否则称为失配。

从电磁波的原理上看,电波只有在相同的介质中传播没有反射,当经过介质的边界时电磁波会发生部分反射现象,两边介质的介电常数差距越大反射就会越大,反射会造成很多电路问题:损耗、噪声、功率返回烧毁器件等等。

说回来,不同的介质就意味着阻抗不同,电路里传导的电磁波就会产生上述现象,所以阻抗匹配就阻抗相等,就是让两边没有电磁波的反射。

阻抗匹配是为了保证能量传输损耗最小,匹配就是上一级电路的内电阻要等于下一级电路的输入电阻。可以分为低频和高频两种情况理解。

1、低频

低频领域可以用电工原理的理论,我们知道现实世界是不存在理想电源的,电源都有内电阻,在能量传输过程中,内阻本身也要消耗能量,这就是全电路欧姆定律阐明的原理:电源电动势E=I*(R+r),其中I是电流,R是负载电阻,r是电源内阻,而功率P=U*I,=I*I*R,通过计算就可以得出只有R=r时,负载获得的功率最大,这就是电子电路设计要求阻抗匹配的原因。

2、高频

在高频领域,以上的原理照样适用,只是阻抗的计算比较复杂,高频的性质是电磁波,它具有波的特性,要用电磁波传输理论来设计电路。在传输过程中要尽量减少信号反射,就要考虑传输介质的材料特性、机械形状、尺寸等一系列参数,阻抗值实际是“波阻抗”,是一种等效阻抗。如75欧高频电缆与50欧高频电缆的机械尺寸不同,波阻抗就不同,用万用表是无法测量的。

以上来源于:头条卧龙会IT技术

往期推荐:

  • 如何在AD原理图中查找相应的元器件

  • 推荐 PCB布局思路分析 让你的布局从此简单!

  • PCB设计基本流程 & 布局布线基本原则和常识

  • 在Altium designer 中如何快速掌握绕等长的方式和方法呢?

  • 最齐全差分处理方法详解与信号分析

  • 电路板的工作原理 - 电路板为什么是绿色的_电路板上的元件介绍图


免责声明:本文系网络转载或改编,未找到原创作者,版权归原作者所有。如涉及版权,请联系删
相关文章
QR Code
微信扫一扫,欢迎咨询~

联系我们
武汉格发信息技术有限公司
湖北省武汉市经开区科技园西路6号103孵化器
电话:155-2731-8020 座机:027-59821821
邮件:tanzw@gofarlic.com
Copyright © 2023 Gofarsoft Co.,Ltd. 保留所有权利
遇到许可问题?该如何解决!?
评估许可证实际采购量? 
不清楚软件许可证使用数据? 
收到软件厂商律师函!?  
想要少购买点许可证,节省费用? 
收到软件厂商侵权通告!?  
有正版license,但许可证不够用,需要新购? 
联系方式 155-2731-8020
预留信息,一起解决您的问题
* 姓名:
* 手机:

* 公司名称:

姓名不为空

手机不正确

公司不为空