Joint Classification and Regression via Deep Multi-Task Multi-Channel Learning for Alzheimer’s Disease Diagnosis
Mingxia Liu, Jun Zhang, Ehsan Adeli, Dinggang Shen, Fellow, IEEE
可作为医学数据处理的入门文章,偏向于综述类的论文。文章的主要贡献在于提出了一个多任务多通道的 卷积神经网络 ,进行阿尔兹海默症的诊断。数据集(ADNI)为受试者的MRI(磁共振图像)和人口统计信息,将单个MRI图像通过既定的模版分为若干patch,每个patch即作为CNN的一个通道,CNN则完成分类和回归两个任务(即疾病诊断和临床评分的回归)。
Abstract
提出了一种深度的多任务多通道学习(DM2L),使用MRI图像、人口统计信息进行脑病分类和临床评分回归。以数据驱动的方式从MRI中提取Landmark,然后以Landmark为中心提取patch,将patch作为DCNN的输入,并将人口统计信息纳入学习过程(age,gender,education)进行疾病分类(AD,pMCI,sMCI,NC)和临床评分回归(CDRSB ,ADAS11,ADAS13 ,MMSE)。
DM2L有什么优势呢?
- 联合两个任务的好处是因为脑疾病的分类和临床评分回归是高度相关的。可以理解为,被诊断为AD患者的受试者,他的临床评分也会比NC受试者高。因此,联合两个任务学习将取得更好的学习效果。
- 另一个好处就是此方法可以自动从MRI中学习特征,而无需任何专业知识来定义MRI特征(后面将进行对比和介绍),特别是将人口统计信息纳入了模型,从而可提供更多有关对象的先验信息。
对比其他提取MRI特征的方法
从MRI中提取特征,根据MRI对AD/MCI的现有表现形式可分为三类:1-基于voxel(体素)的特征;2-基于ROI(感兴趣区域)的特征;3-基于whole- image (全图像)的特征。三者是通过不同的“视野”来体现特征的,可以理解为越来越宏观。
- 在voxel中,以体素的形式测量大脑中的局部组织(如白质、灰质和脑脊液)的密度,从而独立于任何关于大脑结构的假说,也就是说体素所观察到的太细微了,并不能体现大脑机构的特征。同时,通常有millions of voxels和非常有限的hundreds of subjects,此方法面临小样本问题。
- 在ROI中,依赖于结构和功能的角度看大脑异常区域,例如,区域皮质厚度、海马体积、灰质体积等作为MRI特征表示。此方法最大的局限性在于需要专家根据医学专业知识去手工标注特征,又由于人类对于大脑的认知依然十分有限,所以此方法有可能遗漏有用的特征。
- 在whole-image中,MRI被视为一个整体,而不考虑大脑的局部信息。由于AD所引起的脑结构变化是非常细微的,所以脑部MRI数据有goal相似而local不同的特点,因此将整个图像作为输入无法识别脑部MRI非常细微的变化。
基于patch的方法
不同于以上三种方法,本文采用基于patch的特征表示方法,从MRI中提取若干patch作为特征。
该方法是data-driven的,我们不需要专业的医学知识,仅仅通过NC和AD受试者MRI数据,用统计学的方法找出二者的不同点,以此作为Landmark,又以Landmark为中心提取固定size的patch。具体操作如下:
- 对MRI进行预处理,用MIPAV软件进行前连合(AC)-后连合(PC)校正,并重新采样图像以具有相同的256×256×256分辨率,然后采用N3算法来校正那些图像的强度不均匀性,进一步进行头骨剥离以去除头骨和硬脑膜,最后,通过将标记模版翘曲到每个颅骨剥离图像来移除小脑。
- 配准,使用Colin27模版,首先对数据集中的所以训练MRI执行线性和非线性配准,对训练集中的NC和AD受试者的MRI的每个体素线性对齐。
- 对NC和AD受试者的数据进行统计学上的Hotelling T2测试(p-test),从而可以在模版空间中为每个像素获取p-value,某一个体素的p值就代表了NC和AD受试者向对应体素的差异(越小的p值表示差异越大)。
- 按p值对体素由小到大进行排名(即差异性由大到小),排名靠前的体素即为潜在的Landmark。

- 两个Landmark之间距离可能很近,为了避免提取到的patch重叠,加入了欧氏距离限制条件,Landmark之间距离阈值为20。
- 选取排名第一的体素作为Landmark,去除这个体素以欧氏距离为20的圆内的所有体素;对剩下的体素重新排名,选取排名第二的体素作为Landmark。。。。。。以此类推,选取50个Landmark(实验得出)。
- 以每个Landmark为中心,16×16×16为size(实验得出),提取patch,这样就得到了50个patch作为MRI的特征表示。

Multi-task Multi-Channel Convolutional Neural Network
提出的CNN为很基本的CNN模型,将所提取的patch作为CNN的输入,每一个patch为一个通道,中间加入三个人口统计信息,CNN执行分类和回归两个任务。

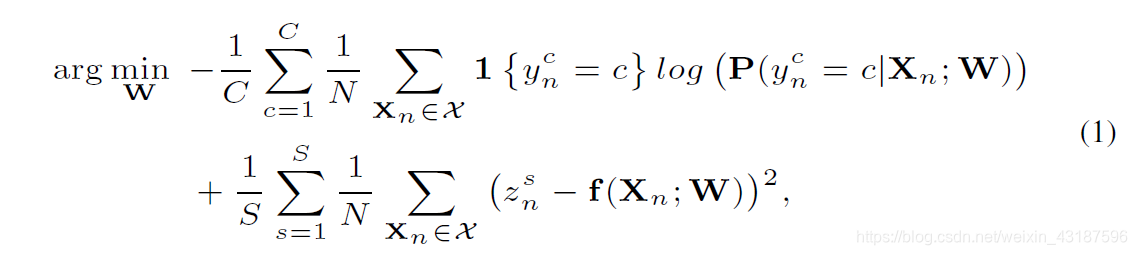
patch作为CNN输入,又经过了全连接层的融合,这样即学习到了patch所代表的细节特征又学习到了patch组合起来的goal的特征。以下是网络的Loss function:

Loss function由两部分组成:分类的交叉熵损失和回归的均方误差损失。
实验

实验 分为两部分,都用ADNI-1作为训练集,对比了其他特征表示的方法和多任务的方法以及本文方法的变形。由于对于AD诊断的复杂性,所以实验准确率并不高,但和对比方法相比有了很大的提高。
Future Work
- 研究一种模型适应策略以减少分布差异的负面影响。
- 将Landmark检测融合到学习过程中,变成统一框架(端到端)。
- 对网络进行微调,提升心能。
- 在实际环境中,分类和回归两个任务不是同等重要的,因此应为二者分配不同权值。
免责声明:本文系网络转载或改编,未找到原创作者,版权归原作者所有。如涉及版权,请联系删