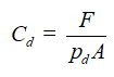
阻力系数:阻力系数常表示为Cd是流体力学中的无因次量,用来表示物体在流体(例如水或是空气)中的阻力。阻力系数和物体的形状及其表面特性有关。

式中,
Cd:阻力系数
F :阻力(阻力与来流速度方向相同)
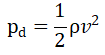
pd :动压,pd=ρv*v/2 (ρ为空气密度,v为气流相对于物体的流速)
A :参考面积(飞机一般选取机翼面积为参考面积)
在fluent帮助文件中,The force coefficient is defined as force divided by 1/2ρv2A,where ρ,v,A and are the density,velocity,and area。fluent中的定义与上述定义相同。
阻力及阻力系数有方向之分,为流动主流方向,其他方向的阻力很小。设置时需要指定阻力及阻力系数的方向。
动压,物体在流体中运动时,在正对流体运动的方向的表面,流体完全受阻,此处的流体速度为0,其动能转变为压力能,压力增大,其压力称为全受阻压力(简称全压或总压,用P表示),它与未受扰动处的压力(即静压,用P静表示)之差,称为动压(用P动表示)。
经Fluent验证,动压=总压-静压

动压的特点:
(1)只有做定向流动的空气才呈现出动压;
(2)动压具有方向性,仅对与风流方向垂直或斜交的平面施加压力。垂直流动方向的平面承受的动压最大,平行流动方向的平面承受的动压为零;
(3)在同一流动断面上,因各点风速不等,其动压各不相同;
(4)动压无绝对压力与相对压力之分,总是大于零
从定义可以看出,阻力系数与速度、面积及密度有关,Fluent中需要首先指定阻力系数计算时的参考值
(Force coefficients use the reference area, density, and velocity. In addition, the pressure force calculation uses the reference pressure.)

参考值reference values:
参考面积Area:为迎风面积,对管内流,参考面积为圆管截面积
参考密度:参考温度对于的密度,设置为流场中的平均密度,与操作密度不同
参考速度:气流与物体的相对速度,若固体保持静止,则为气体流速

注:这里有个问题,参考速度与参考密度只有在计算之后才能够知道,那如何从计算开始时就监测阻力系数?
操作标准:在计算之后,通过某计算域的平均密度及速度指定参考密度及参考速度,然后通过后处理Results---Forces输出阻力系数。
Fluent中阻力系数有两种输出方式。
Solution → Reports → Definitions → New → Force Report → Drag...


Per Zone:指定是否在每个墙壁区域上分别监控多个墙壁区域的阻力。如果打开,表示输出选中的每个wall单独的阻力系数,当此选项关闭(默认)时,Fluent计算并监控所有选定墙壁区域组合在一起的总阻力。
Average Over (Time-Steps), Average Over (Iterations):多个时间步或迭代步输出一次,如指定的数值为5,表示五个迭代步输出一次,且输出的是这五个迭代步的平均值。
Force Vector:有X、Y、Z栏,阻力系数的方向,一般为主流方向。
Compute:可在 控制 栏输出阻力及其系数的数值

Results---Reports---Forces

界面与第一种方式界面相似。对于Wall Zones的选取,想要计算哪个wall上的阻力,就选取哪个wall。
值得注意的是,对于wall-pipe和wall-pipe- shadow ,两个面并不是同一个面,所相邻的计算域不同,计算出的结果差别很大,要选取正确。

上面为输出的结果,Forces及Coefficients均有三个参数,分别为Pressure、Viscous、Total。其中Viscous表示阻力相关,Forces---Viscous表示阻力,Coefficients-- -Viscous表示阻力系数。Forces-Direction Vector(0 0 1)表示z方向的阻力及系数。
上面的结果:阻力为0.013730473,阻力系数为1.2672903。与第一种方式的输出结果相同。
原文 链接 :
以上案例的cas和dat文件均可以 免费 获取,需要的朋友,只需要点赞关注收藏一键三连后私信我即可哦
免责声明:本文系网络转载或改编,未找到原创作者,版权归原作者所有。如涉及版权,请联系删