许可优化
许可优化
产品
产品
解决方案
解决方案
服务支持
服务支持
关于
关于
软件库
当前位置:服务支持 >  软件文章 >  FRED光学仿真软件中MTF调制传递函数的计算方法与步骤

FRED光学仿真软件中MTF调制传递函数的计算方法与步骤

阅读数 641
点赞 0
article_banner
描述
FRED可以计算一个给定系统的MTF,本教程解释了如何来实现这个功能。 
建立系统
这篇文章中我们所使用的系统是一个简单的透镜,将光聚集到附着在几何面的分析面上。透镜是一个简单的双凸BK7单透镜,参数为r1=60 mm, r2=-300 mm, ct=4 mm, x semi-aperture=10, y semi-aperture=10,该透镜的像平面位于近轴焦点处。

FRED 仿真-MTF的计算的图1  
光线聚焦的几何面是一个简单的表面,它的位置规范与透镜的第二个面是一致的,并且在Z轴方向移动94.591622 mm。
FRED 仿真-MTF的计算的图2  
光源是一个44*44格的相干光,类型是single direction(plane wave)单一方向的平面波,波长为0.55 μm,功率为一个单位。
FRED 仿真-MTF的计算的图3

FRED 仿真-MTF的计算的图4

FRED 仿真-MTF的计算的图5

FRED 仿真-MTF的计算的图6
分析
这个系统的点扩散函数:
•    Log (Normal PSF)
•    λ = 0.55 mm
•    0.32 waves 3rd order spherical
•    EPD = 10 mm
•    f/# = 9.68
点扩散函数如下图:     

FRED 仿真-MTF的计算的图7  
系统的点扩散函数是:
•     Log (Normal PSF)
•     λ = 0.55 mm
•     1 wave 3rd order spherical
•     EPD = 13.31 mm
•     f/# = 7.27
点扩散函数如下图:

FRED 仿真-MTF的计算的图8       
演算
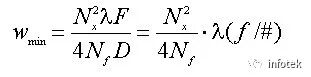
为了充分采样透镜的空间频率直到截止频率,分析面的最小半宽需满足以下要求:       

FRED 仿真-MTF的计算的图9   
在这个等式中变量定义如下:
•     Nx == number of pixels in the analysis plane for the irradiance spread function (PSF)(分析面的像素数用于照度分布函数)
•     w == half width of the analysis plane for the irradiance spread function (PSF)(分析面的半宽度用于照度分析函数)
•     Δx == pixel size in lens units(透镜的像素的单位)= 2w/Nx 
•     Nf == number of pixels in the transform grid(在转换网格中的像素数);
•    the transform grid must have 2n x 2n pixels(转换网格一定要有2n x 2n个像素) (i.e. ...16, 32 , 64, 128, 256, 512, ...)
•   FRED automatically sizes the transform grid so that it is 2n x 2n. Its size is the smallest grid for which Nf is greater than or equal to Nx(FRED自动规定转换网格的尺寸保证它的大小为2n x 2n。它的大小是最小的网格,Nf应大于等于Nx)
•    if Nx = 127, then FRED makes Nf = 128(如果Nx=127,FRED就将Nf 设置为128)
•    if Nx = 128, then FRED makes Nf = 128
•    if Nx = 129, then FRED makes Nf = 256
•    Δf == pixel size in 1/lens units (1个透镜单元的像素大小)= 1/(Nf*Dx)
•     λ == wavelength in lens units(透镜单元的波长)
•     F == focal length(焦距)
•     D == entrance pupil diameter(入瞳直径)
比较
在下图中:
透镜EPD=10mm
截止频率=184lp/mm
图像平面网格=128*128像素,在X和Y方向上的全宽度为0.348mm*0.348mm。    

FRED 仿真-MTF的计算的图10
在下面的图表中:
透镜EPD=13.31 mm
截止频率=250 lp/mm
图像平面网格=128*128像素,在X和Y方向上的全宽度为0.256mm*0.256mm

FRED 仿真-MTF的计算的图11
增加第一表面的BTDF函数,TIS=0.27,表面粗糙度为:90埃

FRED 仿真-MTF的计算的图12
则可以看到表面粗糙对MTF的影响:
FRED 仿真-MTF的计算的图13


免责声明:本文系网络转载或改编,未找到原创作者,版权归原作者所有。如涉及版权,请联系删

武汉格发信息技术有限公司,格发许可优化管理系统可以帮你评估贵公司软件许可的真实需求,再低成本合规性管理软件许可,帮助贵司提高软件投资回报率,为软件采购、使用提供科学决策依据。支持的软件有: CAD,CAE,PDM,PLM,Catia,Ugnx, AutoCAD, Pro/E, Solidworks ,Hyperworks, Protel,CAXA,OpenWorks LandMark,MATLAB,Enovia,Winchill,TeamCenter,MathCAD,Ansys, Abaqus,ls-dyna, Fluent, MSC,Bentley,License,UG,ug,catia,Dassault Systèmes,AutoDesk,Altair,autocad,PTC,SolidWorks,Ansys,Siemens PLM Software,Paradigm,Mathworks,Borland,AVEVA,ESRI,hP,Solibri,Progman,Leica,Cadence,IBM,SIMULIA,Citrix,Sybase,Schlumberger,MSC Products...

相关文章
技术文档
QR Code
微信扫一扫,欢迎咨询~
customer

online

联系我们
武汉格发信息技术有限公司
湖北省武汉市经开区科技园西路6号103孵化器
电话:155-2731-8020 座机:027-59821821
邮件:tanzw@gofarlic.com
Copyright © 2023 Gofarsoft Co.,Ltd. 保留所有权利
遇到许可问题?该如何解决!?
评估许可证实际采购量? 
不清楚软件许可证使用数据? 
收到软件厂商律师函!?  
想要少购买点许可证,节省费用? 
收到软件厂商侵权通告!?  
有正版license,但许可证不够用,需要新购? 
联系方式 board-phone 155-2731-8020
close1
预留信息,一起解决您的问题
* 姓名:
* 手机:

* 公司名称:

姓名不为空

姓名不为空

姓名不为空
手机不正确

手机不正确

手机不正确
公司不为空

公司不为空

公司不为空