.png)
砌体结构的简述
砌体是指由砂浆等胶结材料将砖石块材等组砌而成的一种材料。砌体结构的力学性能不仅需要考虑砂浆与砖块的物理性质,同时要考虑二者间法向接触分离、切向摩擦滑移、以及粘结破坏准则等,只有清楚其中的分析机理,才能建立恰当的分析模型,获取满足精度要求的分析结果。
本文对精细化建模的进行初步梳理,建立砌体的精细化分析模型并进行初步有限元分析,以加深对砌体精细化分析的理解与认识。
砌体有限元分析概况
对砌体进行有限元分析时,根据砌体建模方式的不同可将砌体分为细观模型、中尺度模型及宏观均质模型(见图1)。三者区别于特征如下表1所示。
| 建模方式 | 主要特征 |
|---|---|
| 细观模型 | 砖块、砂浆分别建模,同时在二者的接触面设置摩擦滑移、接触剥离等接触面的相互作用。 |
| 中尺度建模 | 仅建立砖块模型,在砖块之间通过零厚度单元赋予砂浆的力学特性,同时设置零厚度单元与砖块间的接触属性 |
| 宏观均质建模 | 指将砌体视为均质体,通过编写用户材料子程序UMAT将砌体的属性赋予均质砌体模型 |
在具体分析问题中,需根据分析目的、需求选择合适的建模方式。如针对砌体构件的力学性能分析,选取细观模型或中尺度模型可获取较为准确的分析结果,但是计算效率较低。针对大型砌体结构或者砌体历史建筑等包含大量不规则结构构件情况下,采用宏观均质模型则可有较高的计算效率及满足要求分析精度(需编写能反映砌体特点的UMAT)。
精细化砌体有限元要点简述
砌体精细化有限元分析的基本流程如下:
在砌体精细化有限元分析中,砂浆与砖块的本构设置以及接触设置是尤为重要的部分。其中,砂浆与砖块之间接触面的相互作用设置是最为关键的一步,故本文侧重对砂浆与砖块接触面设置进行阐述。砂浆与砖块的接触面属性包括法向接触、切向接触,采用面面接触(surface to surface/Standard)进行模拟。
1.法向接触
1.1法向受压
在法向接触准则中,通常采用“硬”接触来模拟砂浆与砖块界面之间的法向接触行为。硬接触在接触面之间传递的接触压力大小不受限制,当接触压力为负值时,两个接触面发生分离,同时接触面上的结点约束失效。
1.2法向受拉
在法向接触准则中,受拉属性可采用基于接触面的粘性行为进行定义,该行为指当位移或应力满足损伤初始准则时,法向粘性行为进入损伤演化。损伤初始准则与损伤演化准则见下图2。
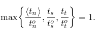
损伤初始准则采用:最大应力准则。最大应力准则的定义[1]为:当最大的接触应力比值达到1时,假定达到初始损伤,表达式如下:
其中,ton、tos和tot分别代表在法向发生初始分离时的接触应力最高值、在第一剪力方向发生初始分离时的接触应力最高值和在第二剪力方向发生初始分离时的接触应力最高值。tn、ts和tt分别表示加载过程中法向的接触应力、加载过程中第一剪力方向的接触应力和加载过程中第二剪力方向的接触应力。
损伤演化准则包括基于位移的演化和基于能量的演化,此处模拟采用基于能量的演化。基于能量损伤准则是指根据损伤过程耗散的能量(也称为断裂能)来定义,其中断裂能等于牵引分离曲线下的面积。
断裂能的定义包括Tabular、Power law与Benzeggagh-Kenane(B-K)三种。此处采用B-K准则定义断裂能,其表达式如下:
其中GS = Gs+Gt,GT = Gn + GS,且η为cohesive特性参数,设置时仅需指定参数GCn、GCs与η。
损伤因子d的软化行为包括线性软化和指数软化,两类软化方式见图3。其中,指数损伤演化表达式如下:
式中,Teff为有效牵引力;δ为有效位移;G0为损伤初始的弹性阶段能量;δfm完全失效时的有效分离距离;δom损伤初始的有效分离距离
2.切向接触
砂浆的剪力由砂浆的粘结强度和摩擦力提供。因此考虑采用粘性行为(cohesive behavior)的切向准则来定义砂浆的粘结行为,采用库仑摩擦准则来定义切向摩擦行为(Tangential behavior)。二者的设置见图4.
2.1粘性行为
粘性行为的切向准则[1]与法向受拉准则类似,同样过损伤初始准则和损伤演化准则定义整个损伤过程。当损伤演化达到最大位移或断裂能时,粘性失效,块体出现滑移。本模型损伤初始准则和损伤演化准则类型与法向受拉准则相同。而切向的分离主要通过粘结(cohesive behavior)实现。粘结行为采用不耦合的牵引-分离行为进行定义:
其中仅需定义参数Knn、Kss、Ktt,其余耦合项(如Kns、Knt等)均为0.
2.2摩擦行为
砂浆的切向模型采用库伦摩擦准则[1],库伦摩擦准则采用摩擦系数来定义。在剪应力达到临界剪应力之前,摩擦面之间不会发生相对滑动,达到临界剪应力后,由原来的粘结摩擦变成滑移摩擦,摩擦面之间开始出现相对滑动(摩擦行为全过程见图5),其计算表达式如下:
式中,τcrit为临界剪应力;μ为摩擦系数;σ为正应力
精细化砌体有限元研究
根据以上精细化砌体有限元分析基本思路,建立精细化砌体有限元模型,并通过有限元算例分析加深对砌体精细化模型分析的理解。算例为砌体的受剪有限元模拟。
1砂浆与砖块本构模型
在砌体精细化模型中,砂浆与砖块的本构模型采用ABAQUS自带的混凝土塑性损伤本构模型(CDP)进行模拟。其中,由于砂浆与砖块呈准脆性,抗拉强度较低,故受拉损伤部分进行简化处理,简化后的受拉本构模型与受拉损伤本构示意图如图7所示。所用本构模型中的具体数值需通过砂浆与砖块的力学性能试验进行确定。
.png)
2接触面相互作用设置
在设置完成砂浆与砖块的本构模型后,二者接触面的相互作用按照前文所述进行设置,其中的参数可参考已有试验结果或相关文献,此处不再赘述。
3边界条件与加载工况
边界条件的设置参考《砌体基本力学性能试验方法标准》[2],砌体试件加载端为上表明中间砖块,约束端为下表面的左右砖块。加载采用位移加载,约束为固接约束(具体见图8)。
4有限元分析结果
分析完成后,砂浆与砖块的云图结果如下图9-图11所示。
.png)
.png)
.png)
.png)
.png)
.png)
由砂浆与砌体整体的分析云图可知,砂浆先于砖块破坏,且砂浆的破坏集中于与砖块的接触界面处。由受拉损伤因子图可知,所采用的简化受拉损伤本构模型与数值模拟结果吻合较好,而未采用简化的受压损伤本构模型则与CDP的受压损伤本构模型表现一致。从图中可看出,受压损伤与受拉损伤发展迅速,呈准脆性。
本文由JY-Young所作,精品推荐!
参考文献:
[1]:Abaqus6.14 User Subroutines Reference Guide
[2]:GBT 50129-2011 砌体基本力学性能试验方法标准
概念为先,机理为本!
完
更多精彩,关注建源学堂!
【往期精彩】
【JY】减隔震设计思考Ⅱ
【JY】钢筋混凝土正截面极限承载力设计的基本原理和快速计算方法
【JY】求?减隔震元件的滞回面积~
【JY】ANSYS Workbench在减隔震应用分析中的单元积分技术笔记
【JY】模态分析关键点笔记
【JY】各软件框架的弹塑性分析对比
【JY】浅析时程分析中的阻尼设置
【JY】减隔震元件计算表格分享
【JY】ETABS与Perform3D弹塑性分析功能对比示例