首页
产品
解决方案
服务支持
AI分析
关于
软件库
在线咨询
申请试用
155-2731-8020
产品
许可分析
实现专业软件许可精细化管理
许可优化
高效利用许可资源、回收闲置许可
许可调配
合理管控调配许可资源
终端软件管理
终端软件管理和合规性管理共同保障终端安全
软件商店
多角度管控软件使用权限,保证软件安全性
资产台账
实用、强大的资产台账管理工具
行业分类
汽车行业
船舶行业
网络行业
半导体行业
医疗行业
军工行业
服务支持
服务保障
软件文章
产品教程
技术文档
关于
关于我们
试用产品
合作伙伴
品牌标志
产品
解决方案
服务支持
AI分析
关于
软件库
产品
许可分析
实现专业软件许可精细化管理
许可优化
高效利用许可资源、回收闲置许可
许可调配
合理管控调配许可资源
终端软件管理
终端软件管理和合规性管理共同保障终端安全
软件商店
多角度管控软件使用权限,保证软件安全性
资产台账
实用、强大的资产台账管理工具
解决方案
汽车行业
船舶行业
网络行业
半导体行业
医疗行业
军工行业
服务支持
服务保障
软件文章
产品教程
技术文档
关于
关于我们
试用产品
合作伙伴
品牌标志
当前位置:服务支持 >
软件文章
>
铸铝一体化发动机罩:可靠性优化设计与仿真分析
铸铝一体化发动机罩:可靠性优化设计与仿真分析
阅读数 303
点赞 0
来源 |
期刊
《汽车工程学报》
2020年,特斯拉ModelY后地板采用铝合金一体化压铸成形工艺,将下车体总成质量减少30%,已被国内外汽车行业广泛关注。相比于传统的汽车制造工艺,熔模铸造能使所有零件一体成型,大幅提高生产效率,且铸件的尺寸精度较高,满足性能要求。目前,国内传统汽车企业、新势力造车企业等正在加快熔模铸造一体化产品的工艺设计与产业化开发。
发动机罩是车身的主要覆盖件之一,为了实现其
轻量化
和安全性的目标,国内外学者对其展开了广泛的研究。陈立娜等构建发动机罩质量、头部损伤值(Head Injury Criterion,HIC)及模态的Kriging近似模型,采用非劣分层
遗传算法
(Nondominated Sorting Genetic Algorithm-Ⅱ,NSGA-Ⅱ)寻最优解。LIHan等采用OLAR-PSO-d(optimal latin hypercube design and adaptive reset operator enhanced PSO with disturbance particle)对发动机罩的质量和行人保护性能进行寻优。YU Duonian等采用NSGA-Ⅱ对HIC、质量和模态建立的近似模型迭代5000步,并选择帕累托最优解进行厚度优化。高云凯等采用CFRP(碳纤维增强复合材料)和环氧树脂集体材料对发动机罩进行了等效替代拓扑优化。HAN Shanling等采用自适应响应面法对电动汽车发动机罩进行多目标尺寸优化设计,使发动机罩的质量降低了8.8%。上述文献对发动机罩多目标优化的研究中,忽略了设计变量的不确定性,如载荷工况、材料特性、加工精度等,将导致结构性能的波动,使确定性分析结果超出约束边界,从而降低了最终方案的优化效果。
针对发动机罩轻量化的设计与多目标优化的问题,本文对熔模精密铸造的一体化发动机罩进行了可靠性分析。首先对长安CS15发动机罩进行了一体化几何模型的正向设计,再建立原钢制发动机罩和铸铝一体化发动机罩的有限元模型和抗凹性刚度、局部受压刚度、正向弯曲刚度、侧向弯曲刚度、中部扭转刚度和约束模态6种分析工况。选取铸铝一体化发动机罩的三部分厚度为变量,运用最优拉丁超立方试验设计提取30组样本点,构建径向基神经网络近似模型。再利用多岛
遗传算法
对铸铝一体化发动机罩的约束一阶模态和质量进行确定性优化。最后基于6Sigma可靠性标准对发动机罩进行可靠性优化,进而探索6Sigma方法在可靠性优化设计中的应用。
1 熔模精密铸造一体化发动机罩设计
1.1工艺和材料
通过熔模铸造的产品具有较高的尺寸精度和表面粗糙度,铸件可以省下机械加工的操作,进而大幅节约金属原材料,有利于节能减排。本文选用熔模铸造的材料为ZL205A,主要化学成分为大部分的铝元素以及少部分铜、锰元素,其材料性能参数见表1。
1.2设计和模型
1.2.1结构设计
发动机罩是车身前部主要的覆盖件,由内板、外板、锁扣加强板等组合而成。外板主要由整车的外形决定,不适合进行结构优化;内板则可以多样化设计来提高其结构性能。原钢制发动机罩如图1所示,结合熔模精密铸造的工艺特点,设计铸铝一体化发动机罩,如图2所示。
1.2.2有限元模型建立
利用HyperMesh建立原钢制发动机罩有限元模型如图3所示,其中壳单元数为114332个,节点数为111138个,钢的密度为7850km/m3。各部件通过焊点连接,内外板通过胶粘连接。铸铝一体化发动机罩有限元模型如图4所示,其中壳单元个数为68044个,节点数为68821个,外板与加强筋等通过共节点形成一体化模型。
2 有限元模型验证
模态结果可以很好地反映物体的固有动态属性,对发动机罩进行模态分析是为了识别出系统的模态参数,为发动机罩的
振动特性分析
和结构动力特性的优化设计提供依据。本文通过对发动机罩进行模态试验,验证其有限元模型的准确性。
2.1模态仿真
发动机罩的振动特性主要由低阶模态决定,因此,在求解时设置频率范围为0~100Hz,计算该范围内的所有模态频率和振型。发动机罩不施加任何的力和约束,通过OptiStruct求解得出原钢制发动机罩的自由模态结果。
2.2模态试验
模态试验采用的设备:DH8303动态信号测试系统、DHDAS动态信号采集分析软件、力锤LC02、速度传感器BW1454、BNC信号转接线。
由于发动机罩的质量较轻,在试验时,发动机罩由弹性绳悬挂来近似模拟自由状态。在发动机罩刚度较大处布置40个试验测点,如图5所示。
将发动机罩40个测点位置导入DHDAS动态信号采集分析,建立发动机罩测量模型,如图6所示。
由于发动机罩为薄板件,所以模态试验采取单点激振多点拾振的方法。拾振点的选取为了避开各阶振型节线,且能准确显示发动机罩的模态性能。测试系统的流程如图7所示。
2.3模态试验结果
在DHDAS动态信号测试系统随机选取5个z方向激励和响应之间的传递函数和相干函数,如图8所示,5个测点均由不同颜色的曲线表示。试验结果显示,5个测点的平均相干系数为0.968,表明测点与激振点的相干性较好,输入和输出信号之间经过平均后存在良好的线性关系,激振有效。
HyperMesh仿真结果与模态试验结果一一对应,见表2,但仿真值与试验值存在一定的误差。其原因为发动机罩悬挂状态非完全自由状态,只是接近自由状态。此外发动机罩在仿真时的焊点、胶粘处理与实际工艺有一定区别。考虑以上误差小于5%,有限元模型得到验证。
3 铸铝一体化发动机罩仿真优化
3.1发动机罩工况条件分析
3.1.1抗凹性刚度工况
抗凹性刚度是指发动机罩在抵抗竖直方向载荷的变形能力。其工况设置为:限制两侧铰链安装点处x、y、z方向自由度和前部支撑z方向的自由度,另外在发动机罩正面中间薄弱处施加150N的垂直载荷,如图9所示。
通过OptiStruct求解可得,钢制发动机罩的抗凹性位移为2.60mm,经计算抗凹性刚度为57.47N/mm,满足设计要求。
3.1.2局部受压刚度工况
与抗凹性工况约束相同,对发动机罩正面施加合力为500N的均布载荷,如图10所示。
通过OptiStruct求解可知,钢制发动机罩的局部受压位移为2.49mm,经计算局部受压刚度为201.13N/mm,满足设计要求。
3.1.3正向弯曲刚度工况
发动机罩正向弯曲刚度是指发动机罩抵抗弯曲变形的能力。其工况设置为:限制两侧铰链安装点处x、y、z方向的自由度,另外在发动机罩正面施加50N的垂直载荷,如图11所示。
由于发动机罩的结构特征是左右对称,所以在弯曲的工况下,可将发动机罩模型简化为简单支撑梁结构,如图12所示。图中F为施加的载荷,f为支撑梁的挠度,根据式(1)计算可得支撑梁的弯曲刚度Kwq。
通过OptiStruct求解可知,钢制发动机罩的正向弯曲位移为15.13mm,因此正向弯曲刚度为3.30N/mm,满足设计要求。
3.1.4侧向弯曲刚度工况
其工况设置:限制两侧铰链安装点处x、y、z方向的自由度和前端右角z方向自由度,在发动机罩正面右端施加50N垂直载荷,如图13所示。
通过OptiStruct求解可知,钢制发动机罩的侧向弯曲位移为1.02mm,经计算其刚度为49.02N/mm,满足刚度要求。
3.1.5中部扭转刚度工况
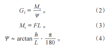
发动机罩的扭转刚度是指发动机罩抵抗扭转力矩作用下的变形能力。其工况设置为:限制两侧铰链安装点处x、y、z方向的自由度和前端锁钩处z方向自由度,在外板的左右两侧施加20N垂直载荷,如图14所示。
在分析中部扭转工况时,发动机罩可简化为图15所示的简易模型。
式中:GJ为中部扭转刚度;Mt为转矩;ψ为相对扭转角;F为载荷;L为两个约束点的距离;h为加载点的位移。
通过OptiStruct求解可知,钢制发动机罩的中部扭转位移为0.354mm,所以其扭转刚度为4.3×107N·mm/rad,满足设计要求。
3.1.6约束模态工况
在实际工程应用中,汽车发动机罩受到两侧铰链安装点处x、y、z方向的约束和前端3处z方向的支撑。考虑到约束模态跟自由模态无论是在振型上还是固有频率上都存在的差别,所以本文按实际情况施加约束条件,如图16所示,进行约束模态分析。
通过OptiStruct求解可知,钢制发动机罩的约束一阶模态为35.6Hz,满足刚度要求。
3.2确定性优化
3.2.1最优拉丁超立方试验设计
试验设计(DesignofExperiment,DOE)是一种利用近似模型的采样方法,主要有最优化试验设计、全因子试验设计、最优拉丁超立方试验设计等方法。
最优拉丁超立方试验设计是在大型空间中采样研究多因素影响的试验方法,其特点是效率高、采样的平衡性较好。由于重新设计后的铸铝一体化发动机罩结构相对简洁,以环绕加强筋厚度(包括锁环安装板和缓冲块)、外板厚度、内部交叉加强筋厚度为设计变量,其厚度的取值范围为2~4mm,如图17所示。
3.2.2径向基神经网络近似模型
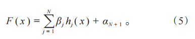
神经网络模型具有很好的逼近非线性函数的功能,学习速度快,且有较强的容错性。在径向基神经网络模型中,假设x1,x2,x3,...,xN∈Ω⊂RN为已知的输入值,则为y1,y2,y3,...,yN∈R响应输出值。基于径向基神经网络模型,近似估计未知点的差值模型F(x)可表示为:
式中:βj为径向基函数差值系数,此系数由式(6)、式(7)定义的N+1个线性方程求解得到。
式中:hj(x)=h(∥x-xj∥c),j=1,2,3,...,N为一组径向基函数;∥x-xj∥为样本点和待测点之间的欧几里得距离;c为样条形状参数,c的取值将影响到近似模型的可信度。
3.2.3径向基神经网络模型的精度评价
径向基神经网络模型具有很好的逼近非线性函数的能力,通过多元数据拟合函数,对30组样本点进行数据拟合,建立铸铝一体化发动机罩的神经网络模型。R-Square的值代表近似值与样本值的相关性,其中R-Square=1时,表明神经网络模型的值和样本点基本拟合。为了验证以上模型的准确性,对以上样本点进行模型的精度评价,评价指标见表3。
由表3可知,径向基神经网络模型的R-Square均接近于1,表明以上构建的模型满足精度要求,可以近似替代发动机罩实际模型。
3.2.4基于MIGA算法的铸铝一体化发动机罩优化
对于轻量化而言,最理想的结果是不仅简化了发动机罩的质量,还能提高发动机罩的力学性能。多岛遗传算法相比于标准遗传算法具有较高的计算效率,可以避免遗传算法中局部最优解陷阱。铸铝一体化发动机罩的多岛遗传算法的参数设置见表4。
许多试验设计在本质上往往属于多目标优化问题,因为它们通常涉及多个指标。以钢制发动机罩的刚度性能为约束,在铸铝一体化发动机罩的轻量化优化设计中,约束一阶模态G6越大越好,质量M越小越好,构建确定性分析数学模型如下。
3.2.5优化结果分析
利用Isight软件经过8002次迭代计算,第7815个结果被选为全局最优解。该最优解同时满足5个约束条件的情况下,目标质量也为最小。因此,最优解的厚度为T1=3.2906mm、T2=2.2485mm、T3=3.9989mm。经有限元仿真计算后,可得出优化模型值与仿真分析值的误差均小于5%,优化结果基本吻合。通过确定性优化结果与原钢制发动机罩进行比较,见表5,约束一阶模态提高了48.57%,质量减轻了18.22%。
3.3可靠性优化
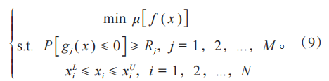
与传统的确定性优化相比,6Sigma可靠性优化增加了目标函数中目标的均方误差,以寻求最优解。可靠性设计的表达式为:
式中:μ为目标函数的均值;P[gj(x)≤0]为满足数目为j的约束函数的概率;Rj为约束函数为gj(x)的期望可靠度。
失效概率的表达式为:
式中:x为变量空间;Pf为失效概率;gj(x)为失效状态;fx(x)为概率密度函数。
在以上径向基神经网络的优化过程中,若设计变量即T1、T2和T3发生不规律的扰动时,确定性优化的结果可能与实际计算的结果相差较大,从而达不到理想的功效。而采用6Sigma可靠性优化设计可使设计目标的标准差最小化,并使均值达到设定值,从而降低系统对输入参数的灵敏度,提高系统的可靠性。
3.3.1均值可靠性
均值可靠性利用了随机变量在均值μ处的失效函数gj(x)泰勒级数展开,gj(x)的一阶或二阶泰勒展开式用来估计失效函数的平均值和标准偏差。然后,通过均值可靠性指数β计算gj(x)的均值和标准偏差。本文使用均值可靠性将随机变量分布转换为标准正态概率分布。
式中:μg为平均值和σg为标准差。通过创建可靠性指数,失效概率可以计算为:
式中:ϕ为随机变量x的分布函数。
就计算可靠性所需的功能评估或模拟程序执行次数而言,均值可靠性是有效的可靠性分析方法,它只需要一次失效函数和灵敏度评估。对于具有正态分布随机变量的线性或二次失效函数,均值可靠度指标也是最准确的。
3.3.2铸铝一体化发动机罩可靠性优化
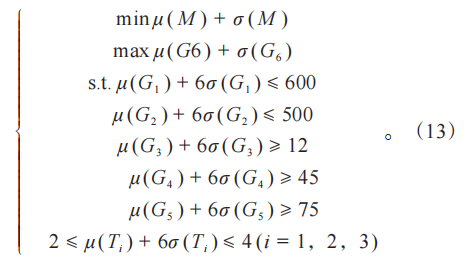
根据可靠性分析理论,基于6Sigma可靠性优化设计的数学模型描述如下。
式中:μ为平均值,σ为标准差。
可靠性优化的目标为发动机罩的约束一阶模态最大化,质量最小化。经过可靠性优化的16002次求解后,Pareto解集中推荐的最优解为T1=2.5464mm、T2=2.6972mm和T3=3.9848mm。经有限元仿真计算后得出可靠性优化结果见表6,与确定性优化相比,各个工况的刚度均得到提高,且优化值都达到了6Sigma水平,表明方案在实际中更加可靠。
可靠性优化后的铸铝一体化发动机罩的质量相比原钢制发动机罩减轻了10.59%,约束一阶模态提高了41.43%。确定性设计结果比起原钢制件具有较大的提高,但是没有考虑到材料、厚度等噪声因子的影响,所以实际的可行性有限;经过可靠性优化,在保证铸铝一体化发动机罩抗凹性刚度、局部受压刚度、正向弯曲刚度、侧向弯曲刚度、中部扭转刚度得到加强的前提下,铸铝一体化发动机罩的约束一阶模态和质量均得到了改善,达到了优化设计的目的。
4 结论
1)首先采用“材料-工艺-结构-性能”一体化集成方法设计出铸铝一体化发动机罩,通过最优拉丁超立方试验设计提取30组样本点,然后基于径向基神经网络模型和多岛遗传算法对铸铝一体化发动机罩进行确定性优化。
2)考虑到方案的可行性,通过6Sigma可靠性设计方案对确定性优化方案进行可靠性优化,降低T1~T3的噪声因子对响应目标的影响,大大提高了发动机罩优化结果的可靠性。
3)经过可靠性优化设计,铸铝一体化发动机罩的抗凹性刚度、局部受压刚度、正向弯曲刚度、侧向弯曲刚度和中部扭转刚度均得到加强,且铸铝一体化发动机罩的约束一阶模态提高了41.43%,质量减少了10.59%,满足了轻量化的要求。
免责声明:本文系网络转载或改编,未找到原创作者,版权归原作者所有。如涉及版权,请联系删
返回上级列表
联系我们
,获取更多内容
上一篇:
基于Hyperworks的汽车声腔模态:分析方法与实操指南
下一篇:
Python自然破片战斗部:爆炸后破片飞散模拟与分析
相关文章
CAE模拟
分
析
在前盖压
铸
模
设
计
中的应用案例
阅读量 988
点赞 55
AUTOCAD
铝
合金薄壁壳
体
低压
铸
造工艺方案
设
计
,提升
铸
造质量
阅读量 440
点赞 0
AUTOCAD
有限元
分
析
:50年
发
展历程回顾
阅读量 1425
点赞 35
AUTOCAD
4/7 多学科
优
化
设
计
| Ansys optiSLang 2021 R1新功能详解
阅读量 662
点赞 0
AUTOCAD
Noesis Optimus软件 v10.19 64位 官方安装免费版
阅读量 1712
点赞 50
AUTOCAD
3月18日OptiSLang多学科稳健
性
优
化
设
计
技术详解
阅读量 478
点赞 0
AUTOCAD
机
电控制
一
体
化
仿
真
应用领域
阅读量 1193
点赞 21
AUTOCAD
发
动
机
悬置支架拓扑
优
化
设
计
研究(有限元技术)
阅读量 1160
点赞 66
AUTOCAD
SIMULIA 2024新功能直通车:Isight 2024新功能详解
阅读量 1507
点赞 23
AUTOCAD
SIMULIA 2022新功能速递:Isight 2022新功能介绍
阅读量 1125
点赞 19
AUTOCAD
Isight 2023新功能亮点介绍
阅读量 1264
点赞 29
AUTOCAD
电
机
电磁
仿
真
技术现代工业应用
与
挑战
阅读量 889
点赞 34
AUTOCAD
ANSYS软件功能详细全面介绍及入门使用指南
阅读量 469
点赞 0
AUTOCAD
CAE有限元
分
析
代做服务:高效
优
化
设
计
方案
阅读量 1168
点赞 14
AUTOCAD
EDA工具生态解
析
:芯片
设
计
全流程软件栈
阅读量 1859
点赞 71
AUTOCAD
技术文档
格发
许可分析
软件管理系统宣传
软件实现正版化
-格发最专业的解决方案
企业
软件资产
和
License管理
遇到的问题和解决办法
UG许可
资源优化解决方案-
许可不够用
,解决UG盗版,
UG许可
监控,UG律师函
公司使用
盗版SolidWorks
被发函,
solidworks盗版
检测,solidworks 被软件公司查到用盗版,SolidWork价格减少
Teamcenter
无法创建多余账号怎么办?
如何解决
许可不足
问题以提升许可利用率
CATIA
的
license资源
管理-gofar许可优化效果
企业如何进行
合规性管理
收到西门子发来的
UG告知函
怎么办?
Solidworks盗版
被查如何防范?厂商是怎么样查到公司在用盗版,有什么方法可以核实真假?……
热门文章
IT预算超支?
软件许可
优化全攻略,同行已省30%费用指南
AI调度 vs 人工分配:许可优化效率的实战数据对比
干货分享 | “电子集成技术”全面解析与实战应用
UG,SW,
CATIA
软件授权突然失效?先检查这3个常见原因
AI驱动的许可管理:2025年十大成本优化策略深度解析
Ansys工程机械CAE应用白皮书最新版免费下载
微信扫一扫,欢迎咨询~
联系我们
武汉格发信息技术有限公司
湖北省武汉市经开区科技园西路6号103孵化器
电话:155-2731-8020 座机:027-59821821
邮件:tanzw@gofarlic.com
发现
许可分析
许可优化
许可调配
终端软件管理
方案
汽车行业
船舶行业
网络行业
半导体行业
服务
服务保障
软件文章
产品教程
技术文档
关于
关于我们
试用产品
合作伙伴
品牌标志
AI分析
隐私声明
|
使用条款
Copyright © 2023 Gofarsoft Co.,Ltd. 保留所有权利
鲁ICP备14018425号-1
鄂公网安备42011302000881号
遇到许可问题?该如何解决!?
评估许可证实际采购量? 
不清楚软件许可证使用数据? 
收到软件厂商律师函!?  
想要少购买点许可证,节省费用? 
收到软件厂商侵权通告!?  
有正版license,但许可证不够用,需要新购? 
联系方式
155-2731-8020
预留信息,一起解决您的问题
*
 姓名:
*
 手机:
*
 公司名称:
姓名不为空
手机不正确
公司不为空