本文主要讲述采用Boussinesq假设的自然对流原理、关键点及应用条件,下一篇会讲述具体的应用案例。
-
为什么要采用Boussinesq假设?
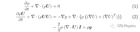
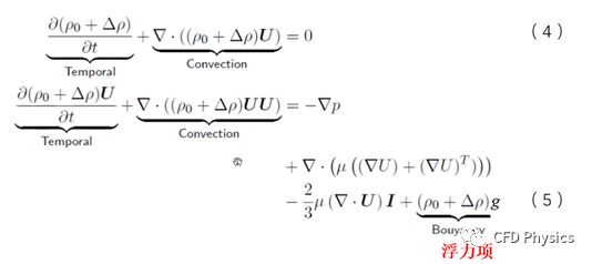
自然对流主要由于密度受热变化产生密度差造成,该现象可用如下的可压缩N-S方程描述。

一方面可以看到该方程是高度非线性的,这种特性会造成求解变得不稳定;另一方面可以看到该方程需要求解的变量非常多,包括速度场u、v、w,压力场p,密度场ρ等,内存需求比较大。
Boussinesq假设即为解决上述问题而产生,当然既然是假设,自然有一些适用前提,Boussinesq假设气体密度变化非常小。
-
Boussinesq假设在方程中如何表现
好吧,下面讲述一些枯燥的理论,即Boussinesq假设如何在方程中表现。主要分为以下几步:
1.把气体密度ρ写成参考密度项ρ0与由于温度引起的密度变化项△ρ之和。

根据假设,其中△ρ远小于ρ0。
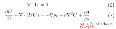
自然对流中浮力是驱动力,因此动量方程(5)中的浮力项也是占主导作用,且密度变化△ρ远小于参考密度ρ0,因此对于瞬态项、对流项可以忽略△ρ,即

最终简化为

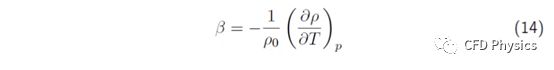
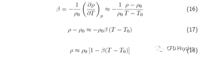
3.浮力项密度可以用温度代替吗?带着这样一个疑问,在消去浮力项密度之前,首先定义一个名词:热膨胀系数β。

热膨胀系数即为在定压力下,密度随温度变化的相对变化率,可用气体运动热力学理论解释,如图所示,在箱体未加热时,上层活动板在大气压力下保持平衡,当箱体加热时,气体运动加剧,气体温度上升,箱体体积膨胀,活动板上升,密度降低,该现象可用热膨胀系数表征箱体膨胀程度的大小。

5.把密度和温度的关系带入到浮力项中,最终得到Boussinesq假设下的自然对流求解方程。

其中T0为参考温度,通常取室温或环境温度,β为热膨胀系数。可以知道,该方程消去了密度项,非线性和内存需要都降低,计算稳定及计算速度都会得到提升,这也是Boussinesq假设下受欢迎的原因。
-
Boussinesq假设适用的具体条件
Boussinesq假设适用场景非常关键,这也是我们经常忽略导致计算精度不高的主要原因。
如前所述,Boussinesq假设适用于

我们可以写成如下形式:

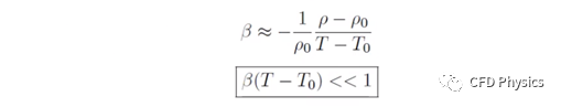
密度相对变化率远小于1,通常认为<1%。密度变化还不够直观,通过热膨胀系数表达式,可以转化为温度变化适用条件:

为更有sense一些,如果以1%为最大误差的话,通常在室温下,认为温度变化在以下范围,Boussinesq假设均适用。

如果想要更简单直接的作判断,
-
当△T<15℃且Ma<<1,Boussinesq假设是适用的;
-
当△T>15℃或Ma>0.3,还是采用可压缩N-S方程形式吧。
[1]https://www.fluidmechanics101.com
[2]Computational Methods for Fluid Dynamics,J.Ferziger&M.Peric
[3]ANSYS Fluent User Manual
CFD理论及相应案例介绍,欢迎关注