许可优化
许可优化
产品
产品
解决方案
解决方案
服务支持
服务支持
关于
关于
软件库
当前位置:服务支持 >  软件文章 >  基于VirtualFlow的壁面过冷沸腾数值模拟对比

基于VirtualFlow的壁面过冷沸腾数值模拟对比

阅读数 487
点赞 0
article_banner

壁面过冷沸腾是在特定的热力学条件下,发生在固体壁面附近的沸腾现象。在核反应堆运行过程中,壁面过冷沸腾通常出现在热流密度较高、热流体与壁面之间的传热温差较大的区域。壁面过冷沸腾的发生会导致壁面附近流体温度骤降,产生大量汽泡。这些汽泡可能会迅速成长并逸出到主流流体中,从而导致流体的热力学状态和流动特性发生显著变化。这些变化可能会对反应堆的运行产生重要影响。

基于VirtualFlow的壁面过冷沸腾数值模拟及结果对比的图1
编辑
编辑
编辑
编辑
编辑
编辑
编辑
编辑
编辑
编辑
编辑
编辑
编辑
基于VirtualFlow的壁面过冷沸腾数值模拟及结果对比的图2

壁面沸腾物理现象及不同流型

为了确保核反应堆的安全和高效运行,在反应堆设计和运行过程中,需要对壁面过冷沸腾进行充分的评估和控制,以避免其对反应堆性能和安全产生不利影响。

基于VirtualFlow的壁面过冷沸腾数值模拟及结果对比的图3

均匀加热的平面壁与垂直流接触的沸腾现象

本算例使用流体仿真软件VirtualFlow对流经管道的氟利昂R12的壁面沸腾过程进行模拟,与DEBORA试验数据及NEPTUNE_CFD、ANSYS CFX模拟结果进行对比,验证VirtualFlow软件模拟计算壁面沸腾的可靠性。

模型介绍

该算例模拟了DEBORA试验(参考文献[1])的过冷沸腾现象。

流经管道的氟利昂R12的壁面沸腾过程模型如图1所示:进入垂直管道的湍流,直径为0.0192米;流体从底部进入,其中入口段(1m)为绝热;流体在流出绝热出口段(0.5m)之前,将壁面热通量边界条件施加到管道中间的3.5m部分。对于稳态模拟,指定基于入口速度的边界(零梯度)。在x坐标为4.5米的直径上进行测量。采用不可压缩模型、代数滑移两相流模型进行模拟。

基于VirtualFlow的壁面过冷沸腾数值模拟及结果对比的图4

图1 模型示意图

针对不同工况进行模拟

通过VirtualFlow软件建立2D轴对称模型,流动方向上有751个网格单元,径向上有41个网格单元,在入口处和靠近墙壁处进行网格加密。

对壁面沸腾测试不同工况(Case-1至Case-8,见表1)进行研究。

Case-1至Case-7数据取自Vyskocil&Macek(2008)(参考文献[2]);Case-8数据取自Krepper&Rzehak(2011)(参考文献[3])。

氟利昂R12流体的饱和温度设定为367.27K,潜热为104kJ/kg,壁面热通量边界条件设定为58.26kW/m2。对于不同工况,改变入口温度和流速。对于Case8,饱和温度为331K和360K,潜热为116kJ/kg和86kJ/kg,壁热通量分别为76.26kW/m2和73.89kW/m2

不同工况下,需改变的最后一个参数是在液态氟利昂R12中气相的气泡直径。对于所使用的代数滑动模型,这是一个很重要的值,其值来自Vyskocil&Macek(2008)和Krepper&Rzehak(2011)。

基于VirtualFlow的壁面过冷沸腾数值模拟及结果对比的图5

计算结果

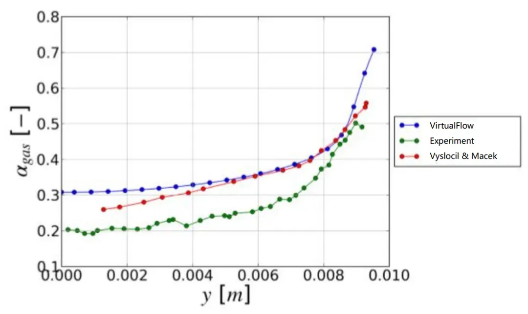
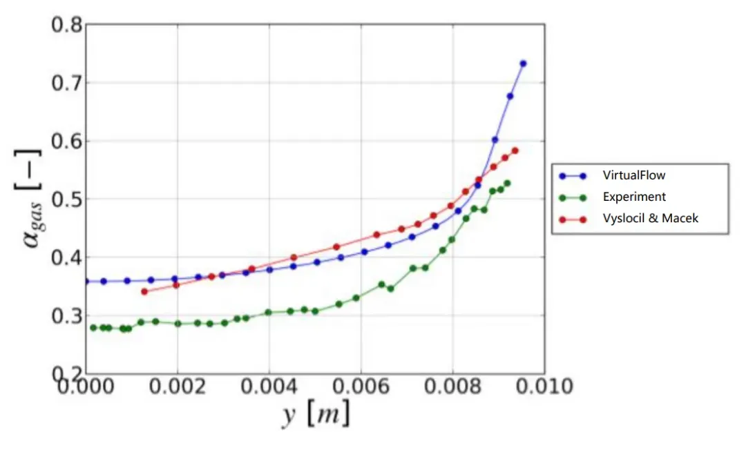
通过VirtualFlow模拟计算得到不同工况下空泡份额的径向分布,并与DEBORA试验数据、Vyskocil&Macek(2008)模拟结果、Krepper&Rzehak(2011)模拟结果进行对比,得到图2-图9.

说明:

1. DEBORA实验在CEA Grenoble进行,作为实验数据集;

2. Vyskocil&Macek(2008)通过FLUENT及NEPTUNE-CFD(CEA、EDF等机构联合开发)进行模拟分析;

3. Krepper&Rzehak(2011)通过Ansys CFX进行模拟分析。

基于VirtualFlow的壁面过冷沸腾数值模拟及结果对比的图6

图2 Case-1 结果对比 

基于VirtualFlow的壁面过冷沸腾数值模拟及结果对比的图7

图3 Case-2 结果对比 

基于VirtualFlow的壁面过冷沸腾数值模拟及结果对比的图8

图4 Case-3 结果对比 

基于VirtualFlow的壁面过冷沸腾数值模拟及结果对比的图9

图5 Case-4 结果对比 

基于VirtualFlow的壁面过冷沸腾数值模拟及结果对比的图10

图6 Case-5 结果对比 

基于VirtualFlow的壁面过冷沸腾数值模拟及结果对比的图11

图7 Case-6 结果对比 

基于VirtualFlow的壁面过冷沸腾数值模拟及结果对比的图12

图8 Case-7 结果对比 

基于VirtualFlow的壁面过冷沸腾数值模拟及结果对比的图13

图9 Case-8 结果对比 

对比分析图2-图9,表明VirtualFlow模拟壁面沸腾均能得到合理的结果。


参考文献

[1] Garnier, J., Manon, E. & Cubizolles, G. 2001 Local measurements on flow boiling of refrigerant 12 in a verticaltube. Multiphase Science and Technology 13, 1-111.

[2] Vyskocil, L. & Macek, J. 2008 Boiling flow simulation in neptune cfd and fluent codes. In Proceedings of the workshop on Experiments and CFD Code Application toNuclear Reactor Safety (XCFD4NRS) (ed. C.Chauliac), pp. 10-12.

[3] Krepper, E. & Rzehak, R. 2011 Cfd for subcooled flow boiling: Simulation of debora experiments. Nuclear Engineering and Design 241, 3851-3866.


免责声明:本文系网络转载或改编,未找到原创作者,版权归原作者所有。如涉及版权,请联系删

武汉格发信息技术有限公司,格发许可优化管理系统可以帮你评估贵公司软件许可的真实需求,再低成本合规性管理软件许可,帮助贵司提高软件投资回报率,为软件采购、使用提供科学决策依据。支持的软件有: CAD,CAE,PDM,PLM,Catia,Ugnx, AutoCAD, Pro/E, Solidworks ,Hyperworks, Protel,CAXA,OpenWorks LandMark,MATLAB,Enovia,Winchill,TeamCenter,MathCAD,Ansys, Abaqus,ls-dyna, Fluent, MSC,Bentley,License,UG,ug,catia,Dassault Systèmes,AutoDesk,Altair,autocad,PTC,SolidWorks,Ansys,Siemens PLM Software,Paradigm,Mathworks,Borland,AVEVA,ESRI,hP,Solibri,Progman,Leica,Cadence,IBM,SIMULIA,Citrix,Sybase,Schlumberger,MSC Products...

相关文章
QR Code
微信扫一扫,欢迎咨询~
customer

online

联系我们
武汉格发信息技术有限公司
湖北省武汉市经开区科技园西路6号103孵化器
电话:155-2731-8020 座机:027-59821821
邮件:tanzw@gofarlic.com
Copyright © 2023 Gofarsoft Co.,Ltd. 保留所有权利
遇到许可问题?该如何解决!?
评估许可证实际采购量? 
不清楚软件许可证使用数据? 
收到软件厂商律师函!?  
想要少购买点许可证,节省费用? 
收到软件厂商侵权通告!?  
有正版license,但许可证不够用,需要新购? 
联系方式 board-phone 155-2731-8020
close1
预留信息,一起解决您的问题
* 姓名:
* 手机:

* 公司名称:

姓名不为空

姓名不为空

姓名不为空
手机不正确

手机不正确

手机不正确
公司不为空

公司不为空

公司不为空