许可优化
许可优化
产品
产品
解决方案
解决方案
服务支持
服务支持
关于
关于
软件库
当前位置:服务支持 >  软件文章 >  【多相流】VOF模型中表面张力与附着力解析(8)

【多相流】VOF模型中表面张力与附着力解析(8)

阅读数 810
点赞 0
article_banner

关注公众号:“CFD流”,获取更好的阅读体验及学习资料。

Fluent中,可以在模拟中包含沿着两相之间界面的表面张力的影响。可以将表面张力系数指定为常数、或通过多项式指定为温度的函数,或者通过自定义函数指定为任何变量的函数。求解器将包括由于表面张力系数的变化而产生的附加切向应力项(引起所谓的Marangoni对流)。可变表面张力系数效应通常只在零/接近零重力条件下重要。附着力的影响可以通过相和壁之间的接触角以及在多孔跳变处包括。

1 Surface Tension (表面张力)

表面张力是由于流体中分子之间的吸引力而产生的。以水中的气泡为例。在气泡中,分子受到的合力是零。然而,在表面上,合力是径向向内的,而整个球面上的力的径向分量的综合作用是使表面收缩,从而增加了表面凹面的压力。表面张力是一种只作用于表面的力,在这种情况下需要维持平衡。它的作用是平衡径向向内的分子间吸引力和径向向外的压力梯度。两个流体分离,但其中一个不是球形气泡的区域,表面张力通过减少界面面积来减少自由能。在Fluent中,存在两种表面张力模型:连续表面力(CSF)和连续表面应力(CSS)。这两个模型将在接下来的部分中进行详细描述。

注意 三角网格和四面体网格表面张力效应的计算不如四边形和六面体网格精确。因此,表面张力效应最重要的区域应该用四边形或六面体进行网格划分。

1.1 The Continuum Surface Force Model

Brackbill等人提出的连续表面力(CSF)模型将表面张力解释为跨界面的连续的三维效应,而不是界面的边值条件。表面张力效应通过在动量方程中加入一个源项来模拟。为了理解源项的来源,考虑沿表面的表面张力是恒定的,并且只考虑垂直于界面的力的特殊情况。可以看出,表面上的压降取决于表面张力系数б和由两个正交方向的半径R1和R2测量的表面曲率:

1.png

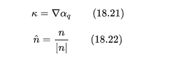
其中,P1和P2是界面两边两种流体的压力。表面曲率是由界面处表面法线的局部梯度计算的。设n为表面法向量,定义为α_q的梯度,即相q的体积分数。

2.png

曲率k由单位法线的散度定义:

3.png

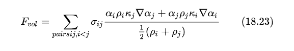
表面张力可以用表面上的压力跃变来表示。表面上的力可以用散度定理表示为体积力。这个体积力是源项,加入到动量方程中。它的形式如下:

4.png
5.png

其中ρ是用公式18.14计算的体积平均密度。方程18.24表明,表面张力源项与单元内的平均密度成正比。

1.2 The Continuum Surface Stress Model

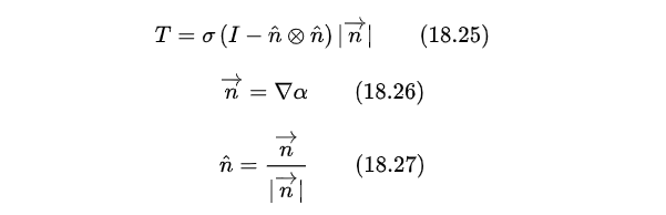
与非保守公式的连续表面力(CSF)方法不同,连续表面应力(CSS)方法是一种以保守方式模拟表面张力的替代方法。CSS避免了曲率的显式计算,可以表示为基于表面应力的界面张力模型的各向异性变量。在CSS方法中,由表面张力引起的表面应力张量表示为:

6.png
7.png

1.3 Comparing the CSS and CSF Methods

与CSF方法相比,CSS方法没有提供更多的优点,特别是在涉及可变表面张力的情况下。由于压力梯度和表面张力的不平衡,CSS和CSF方法都在界面处引入附加的湍流。在CSF法中,表面张力以非保守的方式表示如下:

8.png

k是曲率。这个表达式只对恒定的表面张力有效。

对于可变的表面张力,CSF公式要求根据表面张力梯度在界面的切向方向建立一个附加项。 在CSS方法中,表面张力以保守的方式表示如下:

9.png

CSS方法不需要对曲率进行任何显式计算。因此,它在分辨率不高的区域(如尖角)表现得更加逼真。由于CSS方法的保守公式,它不需要任何额外的项来模拟可变表面张力。

1.4 When Surface Tension Effects Are Important

表面张力效应的重要性是由雷诺数Re和界面张力数Ca这两个无量纲数确定的;或者雷诺数Re和韦伯数We。 对于Re<<1,感兴趣的量为Ca数:

10.png

对于Re>>1,感兴趣的量为We数:

11.png

U是自由来流的速度,Ca >>1和We>>1可以忽略表面张力的影响。

2 Wall Adhesion

在CSF模型的框架下,可以很容易地估算出平衡时与刚性边界接触的流体界面的壁面粘附效应。它并没有把这个边界条件强加到壁面上,而是假设液体与壁面的接触角用来调整靠近壁面的单元表面的法线。这种所谓的动态边界条件导致了近壁面曲率的调整。如果为壁面接触角,则靠近壁面的单元表面法向为:

12.png

其中【多相流】VOF中的表面张力和附着力(8)的图13【多相流】VOF中的表面张力和附着力(8)的图14分别是垂直于壁面和切向的单位向量。

3 Jump Adhesion

与wall adhesion类似,在使用VOF模型时,也可以选择跳跃附着力。这里,接触角处理适用于多孔跳跃边界的每一边,假设两边的接触角相同。因此,如果为多孔跃迁处的接触角,则与多孔跃迁相邻单元的表面法线为:

13.png

式中,【多相流】VOF中的表面张力和附着力(8)的图16【多相流】VOF中的表面张力和附着力(8)的图17分别为与多孔跳跃垂直和相切的单位向量。 Fluent提供了两种处理多孔跳跃边界的跳跃粘着力的方法: Constrained Two-Sided Adhesion Treatment和Forced Two-Sided Adhesion

  • Constrained Two-Sided Adhesion Treatment

受约束的两面附着力处理选项对附着力处理施加约束。在这里,接触角处理将仅应用于与非多孔流体区相邻的多孔跳变的一侧。因此,接触角处理将不会应用于多孔介质区附近的多孔跳跃侧。如果约束的两面附着力处理失效,则对多孔跳跃体的所有面进行接触角处理。

  • Forced Two-Sided Adhesion:

Fluent允许对流体区域使用强制的双边接触角处理,而不受任何强加的约束。


免责声明:本文系网络转载或改编,未找到原创作者,版权归原作者所有。如涉及版权,请联系删

武汉格发信息技术有限公司,格发许可优化管理系统可以帮你评估贵公司软件许可的真实需求,再低成本合规性管理软件许可,帮助贵司提高软件投资回报率,为软件采购、使用提供科学决策依据。支持的软件有: CAD,CAE,PDM,PLM,Catia,Ugnx, AutoCAD, Pro/E, Solidworks ,Hyperworks, Protel,CAXA,OpenWorks LandMark,MATLAB,Enovia,Winchill,TeamCenter,MathCAD,Ansys, Abaqus,ls-dyna, Fluent, MSC,Bentley,License,UG,ug,catia,Dassault Systèmes,AutoDesk,Altair,autocad,PTC,SolidWorks,Ansys,Siemens PLM Software,Paradigm,Mathworks,Borland,AVEVA,ESRI,hP,Solibri,Progman,Leica,Cadence,IBM,SIMULIA,Citrix,Sybase,Schlumberger,MSC Products...

相关文章
QR Code
微信扫一扫,欢迎咨询~
customer

online

联系我们
武汉格发信息技术有限公司
湖北省武汉市经开区科技园西路6号103孵化器
电话:155-2731-8020 座机:027-59821821
邮件:tanzw@gofarlic.com
Copyright © 2023 Gofarsoft Co.,Ltd. 保留所有权利
遇到许可问题?该如何解决!?
评估许可证实际采购量? 
不清楚软件许可证使用数据? 
收到软件厂商律师函!?  
想要少购买点许可证,节省费用? 
收到软件厂商侵权通告!?  
有正版license,但许可证不够用,需要新购? 
联系方式 board-phone 155-2731-8020
close1
预留信息,一起解决您的问题
* 姓名:
* 手机:

* 公司名称:

姓名不为空

姓名不为空

姓名不为空
手机不正确

手机不正确

手机不正确
公司不为空

公司不为空

公司不为空