摘要
机电伺服系统作为伺服机构的重要一员,越来越多地应用到航天领域中。航天机电伺服系统具有短时高功率、长时低功率、制动负功率的特性,由于永磁同步电机(Permanent Magnet Synchronous Motor, PMSM)高效率、高功率因数和高功率密度的特点受到航空航天领域研究者的广泛关注。电机作为航天机电伺服系统的能量转换装置,其电磁、磁力转化效率及热损耗估算的快速性和准确性是产品研制的关键。现有电机电磁设计方法包括磁路法、解析法和有限元法等;热设计方法包括热路法、等效热网络法、有限元法和流体力学方法等。解析法在工程上常无法获得精确解;有限元法依赖于详细的几何参数;在信息较少的方案设计阶段均无法使用;磁路法和等效热网络法原理清晰、便于理解,常常用于性能的初步预估,但在航天领域,尚无文献给出磁路法与等效热网络法用于电磁热分析的详细流程及各关键参数的取值准则。
基于此,本文提出了基于磁路法和等效热网络法的电机磁热快速设计仿真方法。以表贴式永磁同步电机为例,给出了基于磁路法进行PMSM电磁设计关键参数的取值标准;同时建立了包含36个节点的PMSM集总参数热网络分析模型,并选取其中关键节点推导了热平衡方程,最后应用该方法对某航天电机产品进行了磁热仿真分析,并分别与商软计算数据和实物试验数据对比。结果表明,本文所提方法计算效率较高,仿真精度能够满足方案阶段需求,可用于指导电机方案的快速性能预估。
01
基于磁路法的永磁同步电机电磁设计
磁路法简介
磁路是运用“路”的观念,通过理想化的模型,将宏观电磁现象和电磁过程等效在一维的“磁通通路”内进行分析研究。具体是将空间中不均匀分布的磁场转化为等效的多段磁路,并认为磁通在每段磁路中沿界面和长度均匀分布,将磁场的计算转化为磁路的计算。磁路与电路具有很高的相似性,如表1所示,可以借鉴电路理论分析的方法。

航天PMSM电磁设计关键参数
航天PMSM电磁设计的基本任务是在给定边界条件下获得电机机电能量转换核心部件的尺寸和材料参数,如定子铁芯内外径、定子槽数、转子级数、永磁体厚度和宽度、铁芯轴向叠压厚度、绕组匝数等。为此,需首先确定输入参数(包括空间几何包络、典型工况点的转矩、转速及运行时间等);然后根据输入参数确定核心部件的尺寸和材料属性。其中的关键设计参数包括:
1)基本设计点。选取原则为:取运行时间最长时段及其所对应的转矩和转速作为一组设计点。若存在多个运行时间接近的时段,则选取对应运行转矩中较大的一组作为设计点。
2)定子铁芯尺寸,主要是定子外径
和铁芯长度
的选择。其中定子外径的选取准则为
,即铁芯高度
和宽度
包络取较小者,机壳厚度按经验可表示为
3)级数与槽数,航天PMSM多为8级9槽或10级12槽(转矩波动小,端部长度短)。
4)相绕组串联匝数。确定准则如式(5),其中
为初始化绕组基波系数,气隙磁通
表达式如式(6)。
电磁设计仿真实例
电机磁路法进行电磁性能解算的核心是实现对定子内外径比、槽高、槽宽、永磁体厚度、极弧系数、每槽导体数的最优匹配。以表2给定的电机设计包络,以效率最优为原则,利用上述公式反复迭代,优选出的电机关键设计参数如表3所示。
02
基于热网络法的PMSM热分析
等效热网络法实施步骤
等效热网络法即应用图论原理将电机划分成为多个离散区域,将损耗热源集中在离散的区域节点,节点通过热阻连接,根据热量传递原理建立二维网络拓扑,进而对电机各部件温升情况进行解算的方法。基本实施步骤如下:
1)分析电机结构与边界,简化模型并确定求解区域。对求解区域进行剖分,作离散化处理。部分单元形状、大小可以任意选取,但为计算方便,一般网格剖分要整齐,根据温差大小确定某一区域网格的疏密。
2)将分布参数转化成集总参数,认为热源集中分布于节点中心,热流通过相关节点进行传热,将节点温度作为求解变量。
3)利用图论构建等效热网络。确定网络参数,包括热阻、热导、损耗的计算值及其相关边界条件的处理。
4)建立数学模型。根据能量守恒定律,列出网络节点的热平衡方程。
PMSM热网络建立及热平衡方程推导
航天PMSM存在热传导、热对流及热辐射3种方式。其基本结构包括端盖、定子轭、定子齿、绕组、永磁体、转子、轴承等。建立的热网络模型如图1所示。
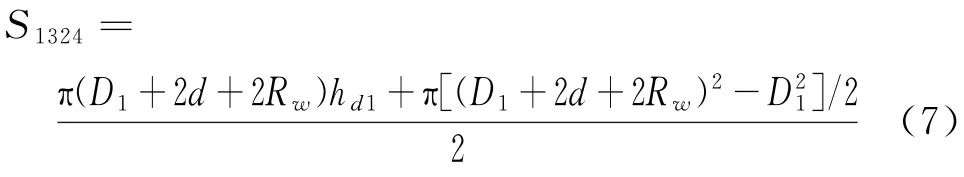
以端部下层绕组节点13为例介绍热平衡方程推导过程。节点13为外端部下层绕组,与节点24(机内空气)、节点12(槽部绕组)、节点36(外端部上层绕组)有热量交换。节点13和节点24之间的等效散热面积为
,则外端部绕组热导
为绕组外端 过渡圆半径,
为定子槽底到槽口的高度,
为转 子表面线速 度。


式中,Nt1和Nt2为导线并绕根数,
分别为并绕导线直径,Ns为每槽导体数,
为绕组外端伸出长度,
为铜绕组导热系数。
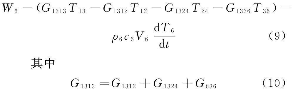
在稳态情况下,根据热平衡原理,节点6产生的热量加上其他节点传入节点6的热量等于从节点6流出的热量,可得节点6的热平衡方程
热网络法仿真实例
利用第2节确定的电机参数,结合本节搭建的热网络模型,在表2中的典型工况下,假设初始环境温度为25℃,散热条件为自然风冷,仿真获得的电机绕组端部及壳体的温升曲线如图2所示。从图中可以看出,第2节电磁设计得到的电机方案,经过245s热仿真,电机绕组端部温度最高达到了115.2℃,壳体温度达到97.74℃(受漆包线最高承温限制,通常要求不超过200℃)。因此,表3电机方案满足初步阶段热设计需求。
03
电机磁热快速设计仿真方法校验
为验证所提方法的正确性及计算结果的准确度,将本文所提方法获得的仿真结果分别与成熟商业软件的仿真结果、实物试验结果进行比对。其中电磁分析选用ANSYS/Rmxprt电机快速设计软件,表4给出了商软仿真结果、磁路法计算结果和样机实测结果及其相对误差。可以看出,磁路法与商软的误差最大为6.07%,最小为1.66%;而与实物样机之间的最大误差低于10%。
为与实物样机温升数据做对比,将温升试验工况(表5所示)赋予热网络模型中,其中初始温度为38.1℃,得到绕组端部温升仿真与试验对比曲线,如图3所示,具体数据及误差如表6所示。由表6可以看出,利用热网络法得到的电机绕组端部温升与试验数据趋势基本一致,最大误差为7.3%,满足方案设计阶段对电机热性能快速预估的需求。
04
结论
注:因为篇幅,本文内容呈现略有调整。
参考文献略。
本文摘自《宇航总体技术》2022年第1期
作者:安林雪,王纯一,李春宇,蒋孟龙,邓烨
作者简介:安林雪(1984-),女,硕士,工程师,主要研究方向为伺服系统多学科联合仿真技术。
E-mail:alxdyx@163.com
单位:北京精密机电控制设备研究所/航天伺服驱动与传动技术实验室