技术邻周报提供近一周来自技术邻的精选干货,为用户推荐最精彩的内容,满足每个用户高质量阅读需求。
1、常见的试验加速方法
零部件的耐久试验通常耗时且代价高昂,试验加速技术应运而生。

2、尺寸链入门篇:正计算
正计算即公差校核计算,是已知各组成环的基本尺寸及公差,求解封闭环。

3、双线性弹塑性模型
本节内容为多杆结构的弹塑性有限元计算。
iSIGHT里面的优化方法大致可分为三类:数值优化方法、探索优化方法、专家系统优化。
我们之前讨论了Ansys不同单元类型连接中的Solid-Beam单元的连接,通过研究Solid-Beam单元连接的两种方式,梳理了一下不同单元类型连接时需要注意的关键点。今天我们开始讨论Solid-Shell单元的连接。
6、电子电器设计中的CFD仿真解决方案
在我们的生活中,电子电器产品无处不在。衣、食、住、行、用等生活的各个领域几乎都和它们有着密不可分的关系。随着科技飞速发展,现代电子产品更新速度极快。这对于消费者来说是狂欢,而对于产品设计者来说大概就是噩梦了。

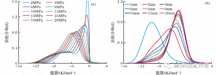
7、利用MS模拟天然气(甲烷)在多孔介质中的吸附
天然气蕴藏在地下多孔隙岩层中,包括油田气、气田气、煤层气、泥火山气和生物生成气等,也有少量出于煤层,主要用途是作燃料,可制造炭黑、化学药品和液化石油气,是优质燃料和化工原料。天然气由气态低分子烃和非烃气体混合组成,主要成分烷烃,其中甲烷占绝大多数,因此,本教程采用甲烷代表天然气模拟多孔介质中的吸附。模型建立:CH4:打开建立的Project,从菜单栏中选择 File|Import... 点击 Import 按钮打开 Import Document 对话框,选择Structures/organics 然后选择 methane.msi,最后点击 Open 按钮。
8、CFD理论:能量方程形式
Fluent 2021R2更新的主要部分: 用户界面、网格划分、 求解器/HPC、燃烧、反应和电池、旋转机械和航空航天、多相流、壁膜和传热、湍流和流固耦合。
10、杆式射流对充液防护结构的毁伤机理及影响因素数值仿真研究
本文以聚能战斗部对舰船充液防护结构的毁伤为研究背景,运用ANSYS/LS_dyna分析了药型罩壁厚和材料对充液防护结构毁伤效能的影响。结果表明:药型罩壁厚在0.04Dk~0.06Dk之间形成的杆流对充液防护结构具有较优的侵彻性能,δ<0.04Dk,杆流成型结构较差,在水中的动能抗衰减性能较低,δ>0.06Dk,杆流初始动能低,穿透水层后的剩余能量小,无法形成较大的后效;药型罩可采用纯铁、紫铜和钽3种材料,其中纯铁杆流的侵彻能力最高,钽射流的水中动能抗衰减性能最好,紫铜射流具有较好的综合性能。

11、弹体高速撞击挡风玻璃的FEM-SPH仿真对比分析
高速弹体侵彻的显示动力学仿真已经有很多学者对此进行了透彻的研究,按照侵彻目标体建模采用的算法可分为弹体侵彻FEM目标体、弹体侵彻SPH目标体。FEM算法由于计算效率高、边界条件易于处理而得到广泛应用,采用SPH算法能够更加准确反映大变形问题,如破碎、裂纹等物理想象而多被用于科学研究中。本文针对于此,分别采用FEM SPH算法建立了高速弹体冲击挡风玻璃的仿真建模,对比了两种不同建模方法实现冲击挡风玻璃后损失形貌与实际形貌的准确度,总结了FEM与SPH算法各自的优缺点,最后对此类侵彻问题的发展趋势做出了展望。

12、【零基础】入门Abaqus
本课程是【零基础】入门Abaqus的视频课程,希望对刚接触Abaqus的朋友们会有帮助。
13、LS-DYNA常用单元公式选择指南
在进行跌落产品有限元仿真时,根据模型的网格类型选择单元类型,是整个仿真模型设置中重中之重,ANSYS LS-DYNA中存在47种实体单元公式、42种壳单元公式以及多种不同单元类型,所以,用户在选择单元类型时,存在许多疑问或者疑惑。而正确选择单元,可以明显地提高计算效率以及仿真模型与试验模型对标的准确度,且减少不必要的错误或避免计算不收敛的问题。

14、考虑温度场和流场的永磁同步电机折返型冷却水道设计
永磁同步电机因具有功率密度高、效率高、结构紧凑等优点,成为新能源汽车驱动电机的首选。随着电机容量的不断增加及其小型化和轻量化的发展,再加上新能源汽车用永磁同步电机的密闭式结构,导致电机运行时散热环境恶劣,电机温升过高,成为制约新能源汽车用永磁同步电机向高功率密度、高效率发展的重要因素。

技术邻鼓励创作者发布优质的文章/视频/问答/文档,快来发布内容上周报吧~
免责声明:本文系网络转载或改编,未找到原创作者,版权归原作者所有。如涉及版权,请联系删武汉格发信息技术有限公司,格发许可优化管理系统可以帮你评估贵公司软件许可的真实需求,再低成本合规性管理软件许可,帮助贵司提高软件投资回报率,为软件采购、使用提供科学决策依据。支持的软件有: CAD,CAE,PDM,PLM,Catia,Ugnx, AutoCAD, Pro/E, Solidworks ,Hyperworks, Protel,CAXA,OpenWorks LandMark,MATLAB,Enovia,Winchill,TeamCenter,MathCAD,Ansys, Abaqus,ls-dyna, Fluent, MSC,Bentley,License,UG,ug,catia,Dassault Systèmes,AutoDesk,Altair,autocad,PTC,SolidWorks,Ansys,Siemens PLM Software,Paradigm,Mathworks,Borland,AVEVA,ESRI,hP,Solibri,Progman,Leica,Cadence,IBM,SIMULIA,Citrix,Sybase,Schlumberger,MSC Products...