复合材料在航空航天领域的应用非常广泛。在研究复合材料失效机理的过程中,学者们提出了许多宏观和细观尺度上的失效准则。其中应用比较广泛的宏观失效准则包括hashin准则、puck准则等。复合材料在细观尺度上的失效行为通常通过代表体积单元(RVE)模型来研究。

RVE代表体积单元
RVE模型由纤维和树脂构成,一般假设纤维是横观各向同性线弹性材料,树脂则为弹塑性材料。本文通过在屈服准则中引入拉压非对称参量,研究了树脂的拉压不对称弹塑性损伤行为。
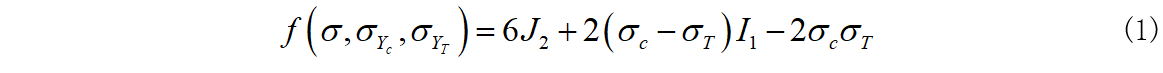
由于树脂的屈服行为与静水压力相关,这里采用下式所示的抛物面屈服准则。
式中J2为偏应力的第二不变量,I1为应力第一不变量,σt和σc为拉压屈服应力
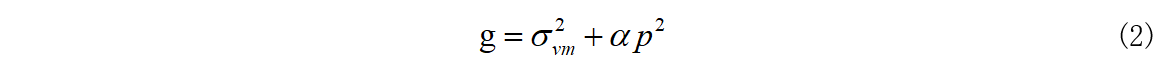
采用非关联塑性流动准则,如下所示。
式中σvm为mises等效应力,P为静水压力,α为材料参数
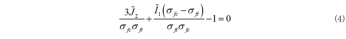
损伤萌生准则如下所示
式中J2和I1为无损应力下的不变量。
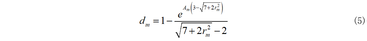
为了降低模型的网格依赖性,损伤演化采用特征长度相关的指数模型
式中,rm为损伤内变量,am为特征长度相关的材料参数。
Melro的文章中给出了通过Simpson积分和弦截法计算Am的方法,实际计算发现通过该方法计算的am效果不是太理想,因此本文未对am进行迭代,直接采用其初值进行仿真计算,如下所示。
计算流程如下
计算流程图
根据上文的弹塑性损伤模型编写了vumat子程序,并通过单胞模型进行了验证,计算结果如下图所示。

abaqus单胞模型
拉伸载荷下的应力应变曲线
压缩载荷下的应力应变曲线