浆锚连接装配式剪力墙Abaqus滞回模拟结果准确性验证
1.装配式剪力墙试件模型
1.1试件构造与尺寸
试件分为上下两段墙体,下段预制墙预留竖向插件,待上下段墙体竖向插入拼装就位后,在预留管道内注入高强无收缩灌浆料,实现两段墙的浆锚连接,模型几何尺寸及配筋,见图1所示[1]。
图1 试件构造与尺寸
1.2试验材料
构件采用HRB335级钢筋直径8mm、10mm、12mm、14mm,参数见表1;采用C45级混凝土参数[1],见表2。
表1 钢筋材料参数
![]()
注:E为弹性模量;μ为泊松比;ρ为密度;fy为屈服强度;fu为极限强度。
表2 混凝土材料参数
![]()
注:E为弹性模量;μ为泊松比;ρ为密度;fc为抗压强度;ft为抗拉强度。
1.3试件有限元模型与边界条件
拼接缝处采用“外高内低”;的“Z”;形拼缝,拼缝处填充弹性密封胶。密封胶材料模型选自文献[2]提到的Reduced Polynomial材料模型参数替代[2],见表3。
表3 弹性胶粘材料参数
![]()
网格应用Abaqus隐式计算T3D2单元,单元数量8752个;模型浆锚连梁单元应用ABAQUS隐式计算B31单元,单元数量720个;模型浆锚连接弹簧单元应用Abaqus隐式计算DASHPOTA单元,单元数量800个.网格尺寸控制在40mm,浆锚连接有限元处理如图2。
图2 浆锚连接有限元
II-a浆锚连接部位采用弹簧-梁模型模拟,弹簧-梁模型由吉林建筑科技学院周文君老师提出。
初始分析步,约束地梁两端部,防止模型出现水平位移.一阶段分析步,在剪力墙顶梁几何中心位置,沿竖直施加轴压力,轴压比控制为0.10,同时约束住剪力墙平面外转动及平面外移动。二阶段分析步,水平荷载采用力和位移混合控制加载模型,其中力加载阶段参照文章将力值折算成位移,加载曲线见图3。
图3 时间-位移加载曲线
2.II-a浆锚连接部分处理
2.1弹簧-梁模型介绍
“弹簧-梁单元”;模型忽略掉代表砂浆的块体单元,砂浆力学影响由弹簧-梁单元形成“弹簧-梁单元体系”取代“弹簧-梁单元体系”;的梁单元一方面实现垂直套筒方向剪力传递,另一方面实现砂浆与钢筋及混凝土的粘结;“弹簧-梁单元体系”的弹簧单元在梁单元失效后限制砂浆与钢筋及混凝土的滑移运动,有效的模拟了浆锚连接发生强度破坏后钢筋与混凝土的滑移脱离现象,见图4。
图4弹簧-梁模型
2.2弹簧-梁模型有限元计算参数确定
应用弹簧-梁模型模拟II-a浆锚连接部位,需要确定梁单元采用的材料模型、截面属性的直径D,弹簧单元刚度K信息。
2.2.1材料模型确定
梁单元采用弹塑性材料模型,弹性模量、密度、强度、塑性应变取用浆锚连接灌浆参数值。
2.2.2属性、刚度确定
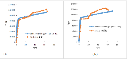
调整梁单元截面属性的直径D,弹簧单元刚度K进行Abaqus模拟结果与试验结果对标,对标差最小组的D、K值作为II-a浆锚连接部位梁单元截面属性的直径D,弹簧单元刚度K的参数值,对标试验数据来自文献[3]。对标试件16-1.0-40、16-1.2-40,试件编号形式为“A-B-C”,其中“A”;表示钢筋直径,“B”表示钢筋基本锚固长度扩大系数,“C”表示波纹管直径[3],有限元模型见图5。
图5 浆锚连接有限元模型
Abaqus模拟结果与试验结果对标差最小组的D=5mm,K=150N/mm,对标结果见图6。
![]()
图6 浆锚连接节点Abaqus模拟结果与试验结果对标
3.浆锚连接装配式剪力墙Abaqus滞回性能分析结果
3.1滞回曲线与骨架曲线对比
加载初期试件处于弹性受力状态,加载与卸载位移曲线基本重合,荷载加载到195kN拼缝处部分混凝土出现损伤,逐渐形成水平贯通;当荷载达到348kN时,边缘构件拼缝处竖直分布钢筋屈服,试件进入屈服阶段,如图7。
图7 钢筋应力云图
模拟与试验的滞回曲线如图8,对比滞回曲线与文献[1]图8(b)发现,最大位移与峰值力几乎一致,滞回环相对饱满,但模拟中加载后期各阶段的峰值力略低,这点与试验结果不太一致.但这样的问题,在其他文章的模拟与试验的对比中总是会出现的,其主要原因是试验中钢筋与混凝土间的粘结-滑移效应在模拟中采用加快钢筋材料本构里峰值应力衰减速率来等效,这种等效一定程度上造成模拟得到的滞回曲线其后期峰值力低于试验值。
模拟与试验的骨架曲线如图9,对比骨架曲线与文献[1]图8(b)发现模拟与试验骨架曲线的走势基本一致。
![]()
3.2承载力对比
对比模拟与试验的开裂水平力Fcr、屈服水平力Fy和峰值水平力Fp,见表4.可以看出,模拟得到Fcr略高于试验结果,Fy与试验结果接近,Fp略低于试验结果。“弹簧-梁单元”模型在装配式浆锚连接结构承载力计算上精度很好,几乎与试验接近。
表4 模拟与试验承载力对比
![]()
4.结论
(1)模拟中使用的“弹簧-梁单元”模型弹簧刚度偏大,在以后的计算中需要适当降低刚度;
(2)模拟结果与试验的开裂水平力、屈服水平力和峰值水平力的数值几乎相同,Abaqus计算装配式浆锚连接结构承载力方面精度很好。
参考文献
[1]陈云刚,刘家斌,郭正兴,等.装配式剪力墙水平拼缝钢筋浆锚搭接抗震性能试验[J].哈尔滨工业大学学报,2013,45(6): 83-89.
[2]雍占福,王瑞华,王文峰,等.基于 ABAQUS 炭黑填充三元乙丙橡胶超弹性本构模型的分析与比较[J].青岛科技大学学报( 自然科学版),2018,39(1): 80-89.
[3]王守晗.预制装配式混凝土构件钢筋约束浆锚搭接试验研究[D].西安:西安建筑科技大学,2018.





