当前位置:服务支持 >  软件文章 >  串联/并联谐振电路详解:原理与设计应用

串联/并联谐振电路详解:原理与设计应用

阅读数 9
点赞 0
article_banner

在含有电阻、电感和电容的交流电路中,电路两端电压与其电流一般是不同相的,若调节电路参数或电源频率使电流与电源电压同相,电路呈电阻性,称这时电路的工作状态为谐振。

谐振现象是正弦交流电路的一种特定现象,它在电子和通讯工程中得到广泛应用,但在电力系统中,发生谐振有可能破坏系统的正常工作。

谐振一般分串联谐振和并联谐振。顾名思义,串联谐振就是在串联电路中发生的谐振。并联谐振就是在并联电路中发生的谐振。

串联谐振

简介

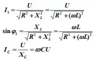
在电阻、电感及电容所组成的串联电路内,当容抗XC与感抗XL相等时,即XC=XL,电路中的电压U与电流I的相位相同,电路呈现纯电阻性,这种现象叫串联谐振。当电路发生串联谐振时电路中总阻抗最小,电流将达到最大值。

串联谐振发生的条件

一个串联电路中,要想发生谐振,需要满足一定的条件。

,即:

时,

,这时,电压与电流同相,电路中发生串联谐振。

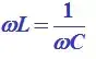
,可得

,则谐振频率就是

串联谐振电路特点

● 总阻抗值最小

● 电源电压一定时,电流最大

● 电路呈电阻性,电容或电感上的电压可能高于电源电压

谐振时电路中的能量变化

电路向电源吸收的 Q=0 ,谐振时电路能量交换在电路内部的电场与磁场间进行。电源只向R提供能量。

高电压可能会损坏设备。在电力系统中应避免发生串联谐振。而串联谐振在无线电工程中有广泛应用。

串联谐振电路的应用

利用串联谐振产生工频高电压,应用在高电压技术中,为变压器等电力设备做耐压试验,可以有效的发现设备中危险的集中性缺陷,是检验电气设备绝缘强度的最有效和最直接的方法。应用在无线电工程中,常常利用串联谐振以获得较高的电压。

在收音机中,常利用串联谐振电路来选择电台信号,这个过程叫做调谐,下图即为其典型电路。

当各种不同频率信号的电波在天线上产生不同频率的电信号,经过线圈1L感应到线圈2L。如果振荡电路对某一信号频率发生谐振时,回路中该信号的电流最大,则在电容器两端产生一高于此信号电压Q倍的电压CU。而对于其它各种频率的信号,因为没有发生谐振,在回路中电流很小,从而被电路抑制掉。所以,可以改变电容C,以改变回路的谐振频率来选择所需耍的电台信号。

并联谐振

简介

在电感和电容并联的电路中,当电容的大小恰恰使电路中的电压与电流同相位,即电源电能全部为电阻消耗,成为电阻电路时,叫作并联谐振。

并联谐振是一种完全的补偿,电源无需提供无功功率,只提供电阻所需要的有功功率。谐振时,电路的总电流最小,而支路的电流往往大于电路的总电流,因此,并联谐振也称为电流谐振。

发生并联谐振时,在电感和电容元件中流过很大的电流,因此会造成电路的熔断器熔断或烧毁电气设备的事故;但在无线电工程中往往用来选择信号和消除干扰。

并联谐振发生条件

在以下两类电路中

发生并联谐振时,

(a)

可得

则谐振频率就是

(b)

可得:

一般情况下,线圈电阻R远远小于XL,因此,忽略R得到

,即得谐振频率

并联谐振电路的特点

● 电压一定时,谐振时电流最小

● 总阻抗最大

● 电路呈电阻性,支路电流可能会大于总电流

并联谐振电路的应用

LC并联谐振回路在通信电子电路中的应用由它的特点决定。具体来说,主要包括三大类,其一是工作于谐振状态,作为选频网络应用,此时呈现为大的电阻,在电流的激励下输出较大的电压;其二是工作于失谐状态,此时呈现为感性或容性,与电路中其他电感和电容一起,满足三点式振荡电路的振荡条件,形成正弦波振荡器;其三是工作于失谐状态,即工作于幅频特性曲线或相频特性曲线的一侧,实现幅频变换、频幅变换以及频相变换、相频变换,构成角度调制与解调电路。

1、用作选频匹配网络的LC并联谐振回路

选频即从输入信号中选择出有用频率分量而抑制掉无用频率分量或噪声。在通信电子电路中,LC并联谐振回路作为选频网络而使用是最普遍的,它广泛地应用于高频小信号放大器、丙类高频功率放大器、混频器等电路中。这些电路的共同特点是:LC谐振回路不仅是一种选频网络,通过变压器连接方式,还起到阻抗变换的作用,减小放大管或负载对谐振回路的影响,可获得较好的选择性。

高频小信号选频放大器用来从众多的微弱信号中选出有用频率信号加以放大,并对其他无用频率信号予以抑制,它广泛应用于通信设备的接收机中。单调谐放大器电路及交流通路如下图所示。

上图中,LC并联谐振回路作为晶体管集电极负载,它调谐于放大器的中心频率。在联接方式上,LC回路通过自耦变压器与本级集电极电路进行联接,与下一级的联接则采用变压器耦合。

2、作为电容构成泛音晶体振荡器的LC并联谐振回路

在外加交变电压的作用下,石英晶片产生的机械振动中,除了基频的机械振动外,还有许多奇次频率的泛音。当需要工作频率很高的晶体振荡器时,多使用泛音晶体振荡器。下图所示为泛音晶体振荡器。

上图中石英晶体与CL支路呈电感特性,以石英晶体、C2以及L1C1回路一起构成三点式振荡器,根据三点式振荡器的组成原则(射同它异),L1C1谐振回路应呈容性。假定图中石英晶体工作在5次泛音频率上,标称频率为5 MHz,为了抑制基频和3次泛音的寄生振荡,L1C1回路应调谐在3次和5次泛音频率之间,即3~5 MHz之间。由图(b)所示的L1C1谐振回路电抗特性曲线可知,对于5次泛音频率5 MHz,L1C1回路呈容性,电路满足三点式振荡条件,可以振荡。对于小于L1C1回路谐振频率的基波和3次谐波,回路呈电感特性,不符合射同它异的组成原则,不能产生振荡。对于7次及7次以上的泛音,虽然L1C1回路也呈容性,但此时的等效电容过大,振幅起振条件不能满足,振荡也无法产生。

3、实现幅频变换和频相转换功能的LC并联谐振回路

LC并联谐振回路阻抗的相频特性是一条具有负斜率的单调变化曲线,利用曲线中,线性部分可以进行频率与相位的线性转换,这主要应用在相位鉴频电路中;同样,LC并联谐振回路阻抗的幅频特性曲线中的线性部分也可以进行频率与幅度的线性转换,因而在斜率鉴频电路中也得到了应用。

以斜率鉴频器为例,如图所示,图(a)是谐振回路的输入电流与输出电压。图(b)是其中的频率一振幅变换原理。图(c)为单失谐回路鉴频器原理图。

调频信号的电流是等幅、频率随调制信号变化的电流。当此电流通过斜率鉴频器的频率一振幅变换网络时,由于LC并联谐振网络的中心频率为f0,输入的高频信号使LC网络一直处于失谐状态,即工作于谐振曲线上以A为中心的BC之间的区域。当输入信号频率增大时,工作点由A向C移动,对应的输出电压由Uma减小为Umc;反之,当输入信号频率减小时,工作点由A向B移动,对应的输出电压由Uma增大为Umb。当输入信号最大频偏△f变化不大时,线段BC很短,可近似看作直线,因此它所产生的频率-振幅变换作用是线性,输出电压振幅的变化与输入信号频率的变化呈线性关系。因此网络可以将等幅的调频信号变成调幅-调频信号,该信号再经过二极管包络检波器就能够解调出输出信号。

以上来源于:头条电子工程师笔记

往期推荐:

  • 如何在AD原理图中查找相应的元器件

  • 推荐 PCB布局思路分析 让你的布局从此简单!

  • PCB设计基本流程 & 布局布线基本原则和常识

  • 在Altium designer 中如何快速掌握绕等长的方式和方法呢?

  • 最齐全差分处理方法详解与信号分析

  • 电路板的工作原理 - 电路板为什么是绿色的_电路板上的元件介绍图


免责声明:本文系网络转载或改编,未找到原创作者,版权归原作者所有。如涉及版权,请联系删
相关文章
QR Code
微信扫一扫,欢迎咨询~

联系我们
武汉格发信息技术有限公司
湖北省武汉市经开区科技园西路6号103孵化器
电话:155-2731-8020 座机:027-59821821
邮件:tanzw@gofarlic.com
Copyright © 2023 Gofarsoft Co.,Ltd. 保留所有权利
遇到许可问题?该如何解决!?
评估许可证实际采购量? 
不清楚软件许可证使用数据? 
收到软件厂商律师函!?  
想要少购买点许可证,节省费用? 
收到软件厂商侵权通告!?  
有正版license,但许可证不够用,需要新购? 
联系方式 155-2731-8020
预留信息,一起解决您的问题
* 姓名:
* 手机:

* 公司名称:

姓名不为空

手机不正确

公司不为空