多孔介质指内部具有连通的空洞,可使流体穿过的固体。多孔介质具有以下特点:
鉴于上述特点,CFD仿真中,通常将多孔介质简化为一个阻力项,忽略复杂的内部结构,从而节约前处理操作和减少计算量。
多孔板、纱窗等薄板型多孔介质,可简化为porous jump边界条件,其特点为多孔介质内部的流动方向为薄板法向。

服务器机箱的多孔板(图源:91sdsh.com)

porous jump设置页面
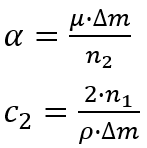
porous jmup边界条件需要输入的参数为:面渗透率、多孔介质厚度、压力跳跃系数。
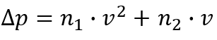
多孔介质的压力损失和流动速度的关系为二次函数:

上式中,α为面渗透率,Δm为多孔介质厚度,C2为压力跳跃系数。ρ、μ分别为流体的密度、粘度。
部分特定的形状的多孔板等,上述输入参数可直接利用经验公式进行计算。对于即没有经验公式,也缺少实验数据的多孔介质,可利用CFD仿真多孔介质本身的详细模型获得相关参数。
基本思路:
某多孔板的形状如图所示,流动介质为清水。

建立数值测试模型,中间网格密集区域为多孔板(多孔板保留真实厚度)。

利用CFD仿真,获得不同入口速度下的压力损失(入口和出口之间的静压差值),汇总到Excel

利用Excel的数据拟合功能,可得到函数关系式

结合多孔介质压力损失和流动速度的函数关系,可获得面渗透率和压力跳跃系数取值。
拟合函数关系可表述为:

则有:

注意要点:
1 若拟合后,n2为负数,则需要取绝对值获得面渗透率数据
2 数据点越多则拟合关系越准确
3 数值测试模型中,最大入口流动速度要比预估的完整计算域中多孔介质区域速度大
4 拟合操作中,要保证常数项为0
免责声明:本文系网络转载或改编,未找到原创作者,版权归原作者所有。如涉及版权,请联系删