许可优化
许可优化
产品
产品
解决方案
解决方案
服务支持
服务支持
关于
关于
软件库
当前位置:服务支持 >  软件文章 >  MATLAB学习笔记(一):入门知识点整理

MATLAB学习笔记(一):入门知识点整理

阅读数 3
点赞 0
article_banner

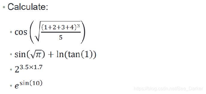
Exercise

Solution

1) cos (((1+2+3+4)^3/5)^0.5)

2)sin((pi)^0.5)+log(tan(1))

3)2^(3.5*1.7)

4)exp(sin(10))

Special Variables and Constants

列出关键字:>>iskeyword

数字输出格式转换

>>format  long

例如:pi

1)short:  3.1416   2)long: 3.141592653589793   3)shortE:3.1416e+00

4)longE:3.141592653589793e+00    5)rat:355/113  

Exercise

solution

>> format rat >> 3/13+4/14+5/15 ans = 232/273 >> format long >> 3/13+4/14+5/15 ans = 0.849816849816850

矩阵

试算出A(8)、 A([1 3 5])、A([1 3;1 3])、A(3,2)、 A([1 3],[1 3])的结果。

<
 
免责声明:本文系网络转载或改编,未找到原创作者,版权归原作者所有。如涉及版权,请联系删
相关文章
技术文档
QR Code
微信扫一扫,欢迎咨询~
customer

online

联系我们
武汉格发信息技术有限公司
湖北省武汉市经开区科技园西路6号103孵化器
电话:155-2731-8020 座机:027-59821821
邮件:tanzw@gofarlic.com
Copyright © 2023 Gofarsoft Co.,Ltd. 保留所有权利
遇到许可问题?该如何解决!?
评估许可证实际采购量? 
不清楚软件许可证使用数据? 
收到软件厂商律师函!?  
想要少购买点许可证,节省费用? 
收到软件厂商侵权通告!?  
有正版license,但许可证不够用,需要新购? 
联系方式 board-phone 155-2731-8020
close1
预留信息,一起解决您的问题
* 姓名:
* 手机:

* 公司名称:

姓名不为空

姓名不为空

姓名不为空
手机不正确

手机不正确

手机不正确
公司不为空

公司不为空

公司不为空