1 电动汽车的动力性指标
《GBT 18385-2005 电动汽车动力性能试验方法》定义了纯电动汽车加速性能、最高车速与爬坡性能的试验方法。同时也较全面定义了电动汽车的动力性指标及其细化分类。动力性能分为加速性能、最高车速、爬坡性能3类。
1.1 加速性能
加速性能是指电动汽车从速度V1,加速到速度V2,所需的最短时间。根据V1与 V2不同,我们通常关心以下3个加速性能指标:
1、0~50 km/h加速时间:主要体现汽车起步加速性能。
2、0~100 km/h加速时间:主要体现汽车常用车速区域加速性能。
3、50~80 km/h加速时间:主要体现汽车超车过程加速性能。
本文在设计算法中预留一个自定义加速时间。
1.2 最高车速
最高车速分为瞬时最高车速与30min最高车速。标准中只规定了30min最高车速的测试方法。但未规定汽车瞬时最高车速的试验方法。汽车的30min最高车速不仅与电机的特性有关,还与电池的容量有关,电池必须能够提供汽车持续行驶30min的最高车速而不出现电池限功率或掉电状态。通常情况下,都不会以电池的容量极限作为设计极限。而是以电机能够持续30min稳定输出功率并保持不过热为设计条件。汽车的最高车速,则以5min最高车速的电机输出功率为设计依据。
综上,本文对最高车速指标的定义有两个:
1、5min最高车速:体现汽车瞬时最高车速能力。
2、30min最高车速:体现汽车持续行驶最高车速能力。
1.3 爬坡性能
标准中定义了坡道起步能力与坡度车速。其试验方法如下定义:
1、汽车坡道起步能力:电动汽车在坡道上能够起动且 1min内向上行驶至少10 m的最大坡度。表现了汽车的坡道起步能力。本文定义坡道起步能力使用5km/h车速下的最大爬坡能力等效。
2、坡度车速:电动汽车在给定坡度的坡道上能够持续行驶1km以上的最高平均车速。表现了汽车在行驶过程中最大的爬坡性能。设计时,通常以20km/h或50km/h的车速作为最大爬坡能力的参考。
综上所述,汽车动力性指标综合描述如表1所示:
表1 汽车动力性指标
2 电机特性及其与各指标的关系
汽车的动力性主要与电机的外特性有关。不同的指标适应于不同的外特性。电机外特性与各指标的关系如图1所示:
图1 电机外特性与电动汽车各动力性指标的关系
电动汽车V1~ V2 km/h加速时间与车速对应下的转速,修正加速性能理论线所围成的区域面积相关。汽车瞬时最高车速与修正加速性能理论线与电机最高转速交点相关。汽车30min最高车速,与电机允用30min过载线和电机最高转速交点相关。汽车坡道停车起步性能与电机最大扭力相关,汽车坡道车速性能与电机允用5min过载线相关。
依据以上特性,建立量化关系,即可通过汽车最高车速、爬坡性能、加速时间这三类动力性指标设计出电机参数。
3 最高车速与爬坡性能设计
根据电机的外特性,应首先根据汽车的最高车速确定电机的最高转速,再依据能量守恒定律建立平衡方程,直接求算出指标所对应的电机功率。最高车速指标通常只校核5min最高车速与30min最高车速。
对于爬坡性能,使用电机端力矩等效法列方程求解。最高车速与爬坡性能均存在理论解,不需要使用微分方程与插值、优化等数学工具。最大爬坡度则通常取5km/h与50km/h两个车速点,前者设计汽车坡道起步能力,后者设计汽车行驶过程稳定爬坡能力。
本文中传动系统传动比iGB举例为常数。目前来看,纯电动汽车的减速器均以单速比为主。多速比情况该值视为与车速相关的函数。
在本模型中,需要知道的参数如表2所示。其中,电机自身特性的参数有:r30min, r5min, rmax, λn0;其余为车辆及传动系统参数。在初步设计中,汽车的空气阻力系数估算为:0.3~0.6,对于轿车默认取值为0.33,对于SUV或MAP外形的车默认为0.37,对于箱式物流车默认为0.45,则二次项系数为:
式中,Cw为汽车空气阻力系数,S为汽车迎风面积,在初步设计时,迎风面积取值根据如下经验公式:
表2 已定汽车和动力总成部分参数
式中W为车身宽度,H为车身高度。
汽车的一次项阻力系数通常取1~3.5之间。其物理意义对应于汽车传动系统的轴承、齿轮啮合损耗,与汽车整备质量约为正比,初步设计时估算为:
若使用传动系统平均效率取值不为100%时,则该参数默认为0,若传动系统平均效率取值为100%,则以上经验公式系数有效。
汽车的常数项系数与汽车的滚动阻力系数有关,计算公式如下:
式中,f0为汽车滚动阻力系数,与路面及车轮胎压等因素有关,通常取值为0.01~0.02,在初步设计中,通常取值为0.012.为标准载荷,在空载与满载设计时,则替换该参数,下同。
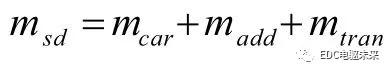
对于设计时汽车的标准载荷,是汽车的整备质量与附加质量的和。对于附加质量,旧国标与新国标《GBT 18386-2017 电动汽车 能量消耗率和续驶里程 试验方法》有微小的差异,详见标准 [7]。新国标于2017年10月14日发布,于2018年5月1日起实行。对于最大设计质量≤3.5t的乘用汽车,附加质量为100kg。
3.1 最高车速指标设计
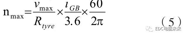
电机转速刚性传递至轮边,因此最高车速决定电机最大转速。设计公式如下:
根据能量守恒法,在最高车速下电机的最大功率设计如下:
而30min最高车速一定≤最高车速。因此,对电机转速将不再做进一步设计,只对汽车的峰值功率需求再做设计。由图1可知,汽车在30min最高车速时,电机应满足30min持续输出功率线。根据能量守恒定律,该功率设计为:
3.2 爬坡能力指标设计
坡道起步性能与坡道车速指标的设计,均可以使用能量守恒公式,阻力部分分为行驶阻力与坡道力。计算公式如(8),(9)所示。注意其适用的力矩曲线不一致,所以修正系数不一样。如图1所示。
4 电动汽车加速指标设计
对电动汽车驾驶指标的设计,需要建立动态模型,并求解微分方程。因在恒功率段微分方程无理论解,只有数值解法,因此需要做离散求解插值分析。而该微分方程与ADVISOR等仿真软件一样,是通过设定已知动力系统参数求出t-v动态关系。因此需要最优化工具作为设计辅助。
4.1 动力系统微分方程
将汽车作为研究质点,由牛顿第二定律得:
式中,T是电机输出最大扭力,如图1中的修正加速性能理论线。它是关于车速v的函数,分为恒扭力段与修正恒功率段。
微分方程(10)在恒功率段不能使用理论法求解,因此使用数值解法。本文使用固定步长为0.1s的龙格-库塔法求解。 4.2 t-v曲线插值与目标函数构建
解得步长为0.1s的t-v曲线,对于百公里加速时间10s的汽车,若使用就近原则,则误差为0.05/10=0.5%,若提高精度,可以将步长减少到0.01s或0.001s,但实际证明,步长增大很影响计算速度,且其精度不如使用线性插值方式接近。因此本文使用步长0.1s,结合插值法使用。
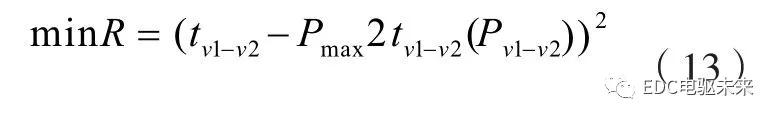
汽车加速性能曲线t-v是单调递增的,因此每个电机峰值功率对应一组加速时间。该函数命名为P m ax2 tv1-v2
则构建目标函数:
4.3 使用单纯形法优化求解
对于不同车速加速度段指标,在式(13)中设置v1,v2即可。本文基于(13)式设计电机的不同指标功率有如下4项:P 0~ 50, P 50 ~80,P 0~ 100, P v1 ~v2。
该最优化问题只有 待优化参数,因此使用二分法、最速下降法、单纯形优化法等优化工具都是可行的。本文发现使用单纯形法解该问题速度更快,且MATLAB中自带该函数。因此本文选择使用单纯形法求解该优化问题。
5 设计实例
通过最高车速、加速性能、爬坡性能三类指标的设计,可以看出电机的最大转速仅与汽车最高设计速度有关,而电机峰值功率则与各指标均相关。因此对于电机功率设计是冗余设计,取满足最苛刻指标的功率。
重新依据公式(1)~(12)逆向计算出真实指标与目标指标的偏差,作为指标达成度。达成度越大的指标说明初始指标定义过高;达成度越小的指标为100%,说明该指标是当前定义的所有指标中动力系统最难以达成的指标。
5.1 已知参数
纯电动汽车设计阶段,首先根据市场调研结果对车身参数与动力性指标进行初步定义。表1所示举例为某车型的市场调研阶段定义的动力性能指标,表2所示举例为该车型整车及动力总成已知参数。基于以上公式在MATLAB中编制设计程序,设计结果如下。
5.2 设计结果
经过设计,被测电机的最高转速为8900rpm,峰值功率为57kW,峰值扭力为155Nm。设计MAP如图2所示。空载,标准载荷,满载的动力性参数对比如表3所示:
图2 电机MAP及其外特性设计结果
6 结论
电动汽车动力性指标与驱动电机参数的关系研究具有冗余设计的特点。将设计指标定义全面,各指标设计求算更合理,才能获得更高精度的设计结果。本文总结了电动汽车的加速性能指标、爬坡性能指标、最高车速指标,并研究了各类指标的设计方法。实践证明,该方法有效可靠,应用于电机选型设计阶段。当电机选型确定并在市场上找到对应的电机供应商以后,为下一步汽车动力性经济性仿真开发工作提供更精确的电机参数。
表3 设计结果