Rodney Hill提出的Hill屈服准则是描述各向异性塑性变形的几种屈服准则之一。最早的版本是冯·米塞斯屈服准则的直接扩展,具有二次型。该模型后来通过考虑指数m进行了推广。这些准则的变化广泛用于金属、聚合物和某些复合材料。
Hill48屈服模型广泛用于预测材料在多轴加载条件下的屈服行为,它考虑了各向同性材料的非轴对称特性。它在工程领域中常被用于模拟和分析金属、塑料等材料的屈服和变形行为。
Mises屈服准则和Hill48屈服模型都是常用的材料强度理论,用于描述材料的屈服行为。它们各自有不同的优势和不足。
其中Mises屈服准则的优势包括:
-
Mises屈服准则是一种简单而直观的模型,易于理解和应用。
-
Mises准则适用于各向同性材料,包括金属、塑料等。
-
Mises准则基于等效应力的概念,其数学性质较好,便于数值计算和工程应用。
然而Mises准则基于等效应力,忽略了材料的方向性差异。它无法准确描述各向异性材料或具有明显的非轴对称特性的材料的屈服行为。
Hill48屈服模型的优势则体现为:
-
与Mises准则相比,Hill48模型能更好地描述多轴加载条件下材料的屈服行为。它考虑了主应力的线性组合,对非轴对称加载有更好的适应性。
-
在一些特定的加载情况下,Hill48模型可以提供更准确的预测结果。特别是对于一些具有明显非轴对称特性的材料,如纤维复合材料等,Hill48模型可能更适用。
然而相对于Mises准则,Hill48模型的表达式更为复杂,计算和应用上更为繁琐。且Hill48模型中涉及多个参数,选择和确定这些参数需要依赖实验数据和经验,可能存在一定的主观性和困难性。
因此在具体工程应用中,需要根据材料的性质、加载条件和研究目的选择合适的模型。有时候,结合多个模型或使用更复杂的材料模型可能更有利于准确预测材料的屈服行为。
在网上简单检索后发现很少有编写hill48屈服模型和swift硬化的相关分享。因此这里对于该模型进行简单的介绍和数值实现以及案例展示,有助于提高大家编写思路。
二次hill屈服准则表达式为
.png)
二次Hill屈服准则仅取决于偏应力,并且与压力无关。它预测了拉伸和压缩时相同的屈服应力。其中F,G,H,L,M,N是材料常数,通常实验标定获得
如果假设材料各向异性的轴是正交的,则对应参数可以表示为
.png)
.png)
广义的Hill屈服准则表达式为:
.png)
基于Hill48模型的推广:
Hill93模型
.png)
Caddell–Raghava–Atkins屈服准则:
.png)
Deshpande–Fleck–Ashby屈服准则:.png)
关于参数的获取,B站有博主搬运了了油管一个matlab 的小程序,基于成本优化的概念结合0°,45°,90°试样的拉伸屈服应力可以得到归一化的屈服应力比进一步获得对应的材料参数们这里附上学习连接
.png)
用于仿真的 Hill48 各向异性屈服参数优化(MATLAB 代码)_哔哩哔哩_bilibili
这里主要使用二次hill屈服准则+swift硬化进行展示
其中swift硬化是一种常见的非饱和硬化模型,表达式如下:
σ=σ0+Kε^n
σ为应力,ε为应变,K为常数,n为硬化指数。Swift硬化参数是指该幂函数中的n和σ0。swift硬化形式简介明了,参数可以通过拉伸实验和origin拟合轻松获取
基于视频提供的内容,假设0°,45°,90°屈服应力比为1:0.85:0.95,swift屈服函数对应的参数为文献304钢的参数:
E=195.161GPa,μ=0.3,σ0=244.93MPa,N=0.24,K=708MPa
根据教程得到F,G,H,L,M,N分别为:0.8404,0.7324,0.2677,1.9814,1.9814,1.9814
使用拉伸试样分别模拟0°,45°,90°试样的拉伸结果并与mises屈服+swift硬化进行对比
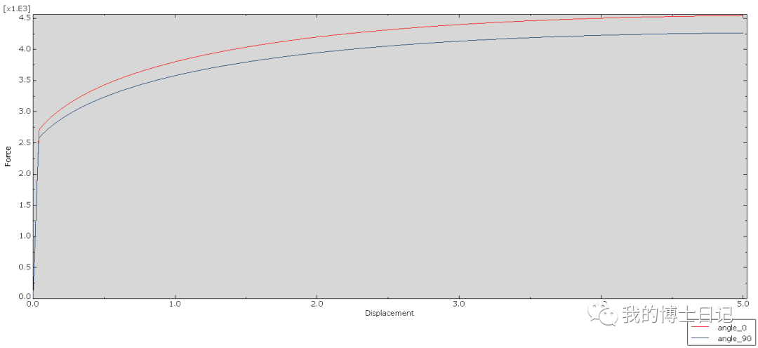
结果如下(左侧Hill48+swift(应力+等效塑性应变),右侧mises+swift(应力+等效塑性应变)):
.png)
Hill48+swift力位移曲线0°和90°
.png)
Mises+swift力位移曲线0°和90°
.png)
可以看到Hill48 屈服能更好地描述不同方向加载条件下材料的屈服行为
这对显著各项异性材料在模拟冲裁,轧制等提供更高的精度