悬挂网壳结构风压分布的环境影响因素研究
Study on Environmental Factors Affecting Wind Pressure Distribution of Suspended Reticulated Shell Structure
魏晓刚1,2,法靖宇1,3,杨柳川1,3,李广慧1,4,刘书贤5
(1.郑州航空工业管理学院土木建筑学院,郑州 450046;2.中国地震局工程力学研究所中国地震局地震工程与工程振动重点实验室,哈尔滨 150080;3.郑州意合达建筑科技研究院,郑州 450046;4.河南水利与环境职业学院,郑州450046;5.辽宁工程技术大学土木工程学院,辽宁 阜新 123000)
摘要:为了研究环境因素对机场大跨度悬挂网壳结构风荷载分布特性的影响,通过在SSTk-ω湍流模型的基础上结合CFD技术对悬挂网格结构进行风洞试验数值模拟,验证了数值模拟方法的准确性并对比研究了周边建筑、围护结构、地势高低与支撑结构等不同环境因素下悬挂网壳风荷载分布规律,发现:周边建筑可以对风荷载起到遮挡效果,降低网壳表面风压,遮挡效果随着夹角的增大逐渐衰弱;有围护结构的封闭式悬挂网壳较开放式悬挂网壳存在更大的风压梯度,在一定程度上可以提高结构承风能力,但对于非规则网壳结构无规律可循,故在实际工程中,需根据情况具体分析;随着悬挂网壳结构所处地势高度的增加,其受到风压的影响程度有一定的增幅,但当地势变化差异不大时,结构受风扰动不明显;拱梁对结构表面风压分布趋势影响较小,对风荷载起到了遮挡作用,可以降低悬挂网壳结构风压系数值。
关键词:台风;悬挂网壳;数值模拟;环境因素
Abstract:In order to study the influence of environmental factors on the wind load distribution characteristics of long-span suspended reticulated shell structure in airport,based on SST k-ω Rayleigh model and CFD technology, the wind tunnel test numerical simulation of the suspended reticulated shell structure was carried out, and the accuracy of the numerical simulation method was verified. The wind load distribution law of the suspended reticulated shell under different environmental factors such as surrounding buildings, enclosure structures, topography and supporting structures was comparatively studied. It is found that the surrounding buildings can shield the wind load and reduce the wind pressure on the surface of the reticulated shell,and the shielding effect gradually weakens with the increase of the included angle. Compared with the open suspended reticulated shell, the closed suspended reticulated shell with enclosure structure has larger wind pressure gradient, which can improve the wind bearing capacity of the structure to a certain extent. However, there is no rule for irregular reticulated shell structure, so it needs to be analyzed according to the actual situation. With the increase of the terrain height of the suspended reticulated shell structure, the influence degree of wind pressure increases to a certain extent,but when the terrain changes little,the structure is not obviously disturbed by wind. The arch has little influence on the distribution trend of wind pressure on the structure surface, plays a role in shielding the wind load,and can reduce the wind pressure coefficient of the suspended reticulated shell structure.
Typhoon;Suspended reticulated shells;Numerical simulation;Environmental factors
0
前言
近年来,大跨空间结构的造型随着轻质高强建筑材料的产生和应用变得越来越复杂,我国复杂体型空间结构作为近三十年间发展最快的结构形式随着科学技术水平的飞速发展也在逐渐完善。大跨度悬挂网壳结构屋盖是一类其内部空间大,自重轻,且为无围护的开放式建筑,该结构外形较新颖,近些年逐步被应用到一些大型室外公共场所。悬挂网壳结构具有外形新颖的特点,但当结构自身受到风荷载的作用后受力更为复杂,若稍有不慎、考虑不当,在我国台风频发的地域建造悬挂网壳结构可能会造成严重破坏。
大跨度钢构网架具有网壳阻尼小、质量轻、振型复杂、自振频率较密集的特点,这些特点使其对受风荷载作用下的敏感性加剧,故各国学者随之开展球面、网壳结构性能研究。霍林生[1]通过模拟下击暴流风场对不同矢跨比的网壳结构进行分析并且模拟了连续倒塌过程,得出下击暴流作用下单层球面网壳结构失效的主导原因是平均风的作用;赵仕兴等人[2]采用振型分解反应谱等方法对成都市锦城广场换乘服务中心大跨度屋盖开展研究,得出钢木组合屋盖结构具有优异的抗震性能;舒赣平[3]对张家界马戏城主馆开展研究,分析主馆屋盖的抗倒塌性,得出带悬挂子结构的穹顶钢屋盖具有性能较强的抗倒塌性;Qiu Ye[4]结合CFD(计算流体力学)和FEA(有限元分析)将克里格代理模型与相对单层球面网壳进行风洞试验,研究表明球形穹顶的优化设计具有合理的气动性能提升且可以通过减小穹顶墙高来减小最大平均吸力和最大竖向位移;Wei Lu等人[5]建立单层柱面网壳结构携带屋面板和支撑柱的整体倒塌模型,从各个方面分析了网壳倒塌过程和机理,得出屋面板和支撑柱对于在风荷载作用下的网壳结构动力倒塌分析中需要重点考虑。
由于上述网壳结构的特点加之近些年由于地球气候的改变,频发台风强风,灾害也随之而来并且成为了主要自然灾害之一,因台风造成的人员伤亡和财产损失占我国沿海地区受灾率比重较大。因此,对台风作用下悬挂网壳结构受风荷载的风压分布情况研究十分紧要。本文基于CFD计算流体力学对台风作用下悬挂网壳结构的环境影响因素进行分析,为悬挂网壳结构抗风性能研究提供参考。
1
台风湍流强度及风荷数值模拟理论
1.1 台风湍流强度
台风具有巨大破坏性,其风场通常分为风眼区、边界层和云墙区,与普通风有所区别,其风速和气压与普通风相比也有较大差异。台风风速与雷诺数的变化呈现一种正相关的趋势,同时增加风的惯性力作用。台风具有脉动风速变化灵敏的特点,由此会引起台风频率的变大,在该风场下结构受到荷载的作用更容易产生损伤。台风表现形式为整体性移动,有具体的区域半径及移动路径,当台风未登陆时就准确预测具体的范围和路径可以避免结构产生较大的破坏并减少台风对建筑破坏带来的经济损失。目前常用于台风工程研究领域的湍流强度有三种,即田浦湍流强度[6]、石沅湍流强度[7]以及常规湍流强度[8],三种湍流强度的具体表达式如下:
田浦湍流强度:

石沅湍流强度:

常规湍流强度为:

式中,α是地面粗糙度,z为离地高度,g为峰值因子,根据我国相关规范条款8.4.3的规定[9]取值g=2.5,zb =5 m,zG =350 m。
湍流模型是在雷诺平均运动方程和脉动方程基础之上描写湍流平均量的封闭方程组,由于网格数量和直接数值模拟方法限制了其使用条件,用N-S方程通过直接数值模拟法求出湍流尺度有一些弊端,若想运用直接数值模拟方法在实际工程领域以及数值模拟中求出方程组的解实现起来较为困难,所以各学者开始探索各种可以用于数值模拟研究的湍流模型。目前已经用于学术研究的湍流模型[10-12]有标准k-TM模型、RNG k-TM模型、RSM k-ω模型以及本文进行数值模拟时使用的SST k-TM模型等。
SST k-TM模型又称剪切应力输运k-ω模型,该模型可以较好地解决流场近壁区雷诺数较低的问题,相对于k-TM模型具有更好的收敛效果和更加简单明了的形式,其关系式为:

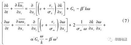
在CFX领域中,k-ω模型是用于求解的两个输运方程:

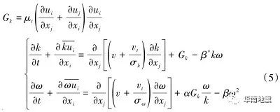
式中,Gk为流场的湍流生成速率。上式中的其他变量都可以根据N-S方程组求得:β∗ =0.09,α=0.556,β=0.075,σk =σω =2.0。
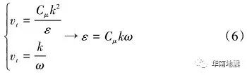
由于该输运方程对自由流区域敏感性过强,当入口湍流频率ω发生变化时,结果也随之出现明显改变,联立湍流粘度公式和k-ω模型公式得到以下公式:

利用公式(6)可以将输运方程改为:

式中:α′ =0.44, β′ =0.0828, σk′ =1.0, σω′ =1/0.856。
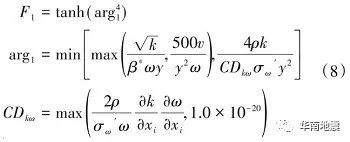
将公式(5)方程两侧同时乘上双曲正切函数F1,F1的具体表达式如下所示

式中y为流域中一点到最近壁面的距离。
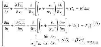
同理将公式(7)两端乘上1-F1,之后将两式相加整理得到的是基线k-ωˉ模型的输运方程:

若用ψ1、ψ2、ψ3分别代表公式(5)、(7)、(9)三式中的模型常数,发现存在一定联系:ψ3 =F1ψ1 +( 1 - F1 ) ψ2 ,但公式(9)表示的基线k-ωˉ模型对描述流场的分离流动时仍然不够精确,故进一步在输运方程的基础上改进湍流粘度vt,通过下式得到了剪切应力输运模型即本文用于数值模拟的SST k
湍流模型:

流场分离流动的精度采用改进后的SST k-ω模型有显著提高,对比直接数值模拟法具有占用计算资源少且准确性高的优点,故本文采用该湍流模型进行数值模拟。
02
风洞试验数值模拟准确性验证
2.1 模型建立及相关参数设置
数值模拟、风洞试验及现场实测三种方法目前大量运用于结构抗风研究[13],后两者由于实验设备和条件的限制性,对于结构抗风研究来说,数值模拟成为了大多数学者选择的不二方法。CFD数值模拟方法虽较风洞试验和现场实测具有方便灵活、节约资源等优点,但同时结构具有不确定性也是该方法的一个弊端,故本文在使用该方法之前先验证其有效性。本文对新西兰奥克兰大学P.J. Richards[14]等人的实测模型进行三维有限元建模,实验模型如图1。
按1∶1比例对实测模型进行数值建模,数值风场区域尺寸设置为60 m×30 m×30 m,满足阻塞率≤3%的规定,具体模型如图所示。湍流物理模型选用上节介绍过的SST k-ωˉ模型,流场入口速度设置为
.97 m/s, zb=1 m。在出口处采用完全发展出流边界。采用非结构网格划分方法对流畅区域进行网格化分,以上参数均按照文献14中实际实验参数设置。加密处理立方体周围区域,网格划分如图2。
图3中表示的是立方体表面风压分布,将风压通过tecplot转换成风压系数便于直接与现场实测和风洞试验结果对比,并参考德国学者Holscher和Niemann[15]对15个立方体缩尺模型风洞试验统计的结果。
在立方体每个面的中心线上各取六个点,对在这些点处三种情况下的风压系数分布情况进行对比,结果如图4所示。

图1 立方体实测模型
Fig.1 The measured model of the cube

图2 风洞试验数值模型及网格划分示意图
Fig.2 Numerical model of wind tunnel test and schematic diagram of grid division

图3 立方体表面风压分布云图
Fig.3 Cloud image of wind pressure distribution on the cube surface

图4 三种情况下的立方体风压系数对比图
Fig.4 Comparison diagram of the wind pressure coefficient of the cube under three conditions
对比上图的风压系数曲线,可以得到:迎风面风压系数在数值上均呈现正值,顶面及背风面风压均呈现负值,表示迎风面风压大多表现为正压,而顶面及背风面以负压占比最大。迎风面顶端及顶面前沿位置处的风压产生突变,最大正压出现在迎风面中部以上位置,在侧面中心线顶面位置由三种方法得到的风压大小和趋势略有不同,但此处风压变化不明显。从图中可以看出,运用数值模拟方法在沿立方体流向中心线以及横向中心线截面位置的风压分布情况与风洞实验和现场实测基本一致,只有在侧面中心线位置略有差异,但误差在15%以内可以接受,进一步说明风洞实验在用CFD数值模拟技术较好模拟的同时也能较为精准地分析结构风压分布情况。
03
悬挂网壳结构风荷载数值计算及结果分析
本文以某机场悬挂网壳结构为例,模型尺寸为46 m×90 m×25 m,为使计算流域满足阻塞率小于3%的前提条件,计算流域设置方法参考姚志东的论文[16]按照前方、后方、侧面和高度分别取3A、6A、2B以及5C进行设置,规模为460 m×450 m× 125 m,模型放置于计算流域前部1/3处,具体数值模型如图5所示。

图5 计算流域及模型示意图
Fig.5 Schematic diagram of calculation basin and model
为便于分析风压系数分布情况,本文以下研究的参考点均选取在沿顺风方向在网壳左半部分中线处六等分点处,每个参考点取在等分段的中心位置,这种参考点的选取方式也可进一步对比分析结构受风荷载的作用面积大小,参考点的选取示意图如图6所示。

图6 参考点选取图
Fig.6 Schematic diagram of reference point selection
网壳表面单元长度划分为0.4 m,为了结果更为精确,加密悬挂网壳结构附近网格,设置计算流域的边界层为4层,利用Workbench的网格自动划分功能对剩余部分进行划分,网格数量为1 377 069。借鉴我国建筑结构荷载规范[9]的相关的规定,地面粗糙度B类,参考高度Zb =10 m,计算流域边界条件设置方式:在入口处设置速度入口边界条件(Velocity-inlet),出口采用完全发展出流边界条件(Outflow),建筑物表面和地面采用无滑移的壁面条件(Wall),平均风速、湍流动能以及瑞流动能比耗散率与高度的关系公式如下:
平均风速:v(z)=vb( z zb )α
湍流动能: k=1.5[ν( z )*I]2
湍流动能比耗散率: ω=k 0.5 C 0.25μ L(11)
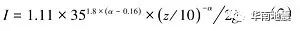
田浦湍流强度公式: I=1.5α ( z/10 )-1.7α
湍流积分尺度: l=0.07LCμ
式(11)中,vb为参考高度位置的平均风速,I为湍流强度,参考田浦湍流强度公式取值为0.189,l为湍流积分尺度计算取值0.09, Cμ为经验常数, L为建筑物的特征尺寸,以上参数的设置均通过编程在Fluent提供的User Defined Functions功能中实现。
基于目前的研究而言,建筑结构不仅受自身的外形和来流风特性的影响,其所处的周边地形地貌及其他建筑物对结构的风荷载特性也有一定的影响,受到周边建筑的阻碍或干扰来流风向风速会产生变化。为进一步研究周边范围内建筑物对悬挂网壳风压分布的影响情况,本节将展览中心与悬挂网壳结构同时建模并进行数值风洞研究。数值模型及计算流域如图7所示。
分析组合结构在风向角为0°、30°、60°、90°、120°、 150°、 180°以及210°八种情况下的悬挂网壳结构风压分布情况。同样为便于对比有无周边建筑网壳表面的风荷载分布情况,将参考点处的风压系数提取出来绘制风压系数曲线图,如图8所示。

图7 加入展览中心后的模型及计算流域示意图
Fig.7 Schematic diagram of model and calculation basin after joining the exhibition center

图8 风压系数曲线图
Fig.8 Wind pressure coefficient curves
从整体趋势上可以发现,风洞中加入展览中心后,原悬挂网壳在风向角为0°、30°、60°、210°几种情况时表面风压都有一定程度的削弱,证明展览中心的存在对于结构受到风荷载作用存在一定的影响,且能起到阻碍部分风荷载的功能。因为取参考点时将网壳结构六等分,可以观察出在展览中心存在的情况下网壳结构受风荷载作用后的风压变化面积,故从风压减小的面积入手进一步分析周边建筑对于结构抗风性的影响。从影响范围上来看,当展览中心位于悬挂网壳结构正上风口时,风向角为30°的悬挂网壳结构风压减小的面积最大,几乎整个网壳风压都相应变小;风向角为0°和60°时,网壳有大部分风压系数变小;风向角为210°时,风压系数值只在上风口前部出现小幅度降低。当风向角为90°、120°、150°、180°时,网壳表面风压值几乎没有变化,证明周边建筑物在网壳风向的侧面角度较大时其对网壳的影响可忽略不计。
综上所述,从风向角上入手,当建筑物与网壳结构沿风向夹角成锐角时,建筑物对网壳表面的风荷载起到遮挡效应,使网壳表面的风压减小,遮挡效果随着夹角的增大逐渐衰弱;当建筑物与网壳结构的夹角成直角或钝角时,周边建筑物的存在对网壳的影响可以忽略不计。从建筑物所处的位置来看,当周边建筑物在网壳风向的侧面角度较大时,其存在对网壳风压起到了一定的减弱作用,但减弱效果相对较小;当附近建筑物处于网壳风向的前端或正后方时,可以减少悬挂网壳表面受到的风压作用,对悬挂网壳的影响效果从正上风向位、侧上风向位、下风向位依次衰减。
网壳结构分为封闭式和开放式,两者的区别在于网壳结构的周边是否存在围护结构,因此周边围护结构对悬挂网壳的表面风压系数也有一定的影响。本节重点研究围护结构对网壳表面风荷载分布情况的影响,在悬挂网壳数值模型周围建立围墙,在封闭网壳周边建立计算流域,各个初始参数设置与第二节中悬挂网壳的流场一致,具体计算流域图如图9所示。

图9 有围护的悬挂网壳结构计算流域图
Fig.9 Calculation basin diagram of suspended reticulated shell structure with enclosure
绘制0°、90°、180°三种不同风向角的情况下网壳结构上表面的风压系数等值线如图 10所示。
由图 10可以得出:当围护结构存在时,封闭网壳表面风压系数等值线呈现出较为规则的梯度分布,从数值上可以看出风压系数大多呈现为负值,说明风对网壳的作用表现为吸力。在0°风向角的情况下,风压系数在网壳结构中部位置的迎风前沿处达到负向风压峰值-6,此时结构的上表面承受风的吸力,且沿顺风方向依次递增,由此可见围护结构的存在使得网壳迎风前端产生较大的风吸力,对风荷载起到了阻挡作用,这种吸力作用大小沿顺风方向依次递减;当风向角为90°时,封闭网壳上表面的左半部分风压系数沿着顺风方向先从0减小到-0.8,后再依次递增至0.2,反观有围护结构的网壳结构右半部分风压系数等值线相对稀疏,可以看出此区域风压分布较为均匀;当风向角为180°时,风压系数表示的风吸力在网壳上表面左右两部分沿顺风方向均匀递减,在中央低谷部分恰好相反,结构前部的迎风端呈现较大的负压,此处在设计时应着重考虑。
在参考点处将两种结构的风压系数值绘制成曲线图,进一步分析围护结构对于网壳结构承受风压的影响效应。
从图 11中可以得出:两种情况下风压系数差别较大,有围护的封闭网壳与无围护悬挂网壳结构表面风压分布有较大差异,围护结构使网壳表面风压在0°风向角时加剧,在90°、180°风向角时风压减弱;迎风部位的风压系数在0°和180°风向角时差异明显,产生较大的突变,在0°风向角的风荷载作用时,有围护结构的悬挂网壳首先受到风荷载作用的迎风面前端位置较无围护结构的悬挂网壳吸力大幅度降低,在180°风向角风荷载作用下,同样是首先受到风荷载作用的有围护结构的悬挂网壳迎风面产生的压力较无围护结构的悬挂网壳大幅度降低。可见当风向角不同时,围护结构对风压分布也有一定程度的影响作用。

图 10 不同风向角风载作用下的结构风压系数等值线
Fig.10 The isoline of structural wind pressure coefficient under different wind directions

图 11 不同风向角下结构的风压系数曲线
Fig.11 Wind pressure coefficient curves of structures under different wind directions
综上所述,当封闭式悬挂网壳结构设置为有围护结构后,与没有围护机构的封闭式悬挂网壳结构不同,两者表面风荷载分布有较大的差异性。分析得出的网壳表面风压系数等值线由于围护结构的存在呈现出更加规则的梯度分布,封闭式的网壳结构风压梯度更大,在周围封闭时网壳整体受到风荷载对结构产生的吸力,对结构承载有一定程度的益处。但是对于类似的非规则网壳结构,结构在不同风向角风荷载的作用下产生了不同效果,当风荷载位于特定的风向角时,网壳结构的局部区域有可能出现无规律遵循的较大负压,故在结构设计时有无围护结构对于结构自身受风载作用后的影响效果需结合实际工程具体分析。
由于目前悬挂网壳结构的美观性,很多悬挂网壳结构设置在沿海地带,故在设计时除了需要考虑一些常规的布局外,还要进一步从安全的角度出发,预防海浪的冲击作用。为减少结构在海浪等因素作用下对结构产生破坏,因此在常规设计中需要考虑设计一定的地势高度,设计者们通常会将结构设计在一定高度的平台或地基之上,这种做法也会对网壳结构的风压分布产生影响效应,故本节建立相关模型:将挑蓬-悬挂结构建立在一个半径为100 m的圆柱体平台上。模型示意图如图 12。

图 12 有平台的网壳结构数值模型示意图
Fig.12 Schematic diagram of numerical model of reticulated shell structure with platform
在0°风向角的风场作用下,对风压系数在参考点位置处进行取值,对比分析网壳结构在无平台(平台高度0 m)及平台高度为5 m、10 m三种情况下的风压系数,如图 13所示。

图 13 不同平台高度下结构的风压系数曲线
Fig.13 Wind pressure coefficient curves of structures at different platform heights
从宏观的曲线趋势上来看,在三种平台高度下的网壳表面风压系数曲线走向基本一致,网壳所处地势的变化过程中悬挂网壳结构表面的风压分布情况变化不大,说明平台高度变化对悬挂网壳的风压分布情况影响较小。从微观的风压系数数值上来说,风压系数值由先受到风荷载作用的迎风端沿风向依次减小,悬挂网壳结构迎风面的风压系数值基本都为负风压的最大值,证明结构迎风面受到风压作用的影响最为剧烈。纵观三条曲线的整体情况,悬挂网壳在所处平台高度的变化过程中,其表面均承受负压,也就是风吸力。随着平台高度的增加,结构所承受的吸力随之增加,结构自身所承受的风荷载作用也越大。从数值上来看,0 m平台的风压系数峰值比10 m平台高0.4左右,结构在0 m平台处承受的风压比10 m平台处衰弱大概40%。因此,随结构所处地势的增高,表面风压分布规律虽无显著变化,但其受到风载的作用程度有所增加,当地势高度变化不是特别明显的情况下,这种风载的作用程度增幅甚微。
比基尼广场的挑蓬是由两根直径2.15 m的圆钢管作为支撑拱梁承重,由于直径相比于应用在其他工程的钢管较大,故钢管拱梁对网壳表面风压分布的影响不可忽略。将拱梁与网壳同时加入数值模拟的风场中,风场的尺寸大小及入口风速等其它条件均与3.1节的参数设置相同,具体计算流域图如图 14所示,分别对0°、90°、180°三种工况下的网壳及拱梁的风压分布情况进行数值模拟,得到三种情况下网壳上下表面风压系数等值线图。
分析图 14可得:当悬挂网壳结构受到0°风向角的风荷载作用,网壳上表面风压系数整体为负值,呈现一种负压的状态,具体表现为吸力,吸力值沿顺风向逐渐减小,在悬挂网壳结构中部的凹陷部分等值线分布呈密集状态,说明网壳中部风场复杂,两角压力产生突变,由负压突变为正压,而下表面得风压系数整体呈正值,具体表现为风压力,由边缘向中央梯度变大,同样为中央部分压力最大。悬挂网壳结构在风荷载的作用下表现为上吸下顶的趋势,这种趋势对于结构抗风作用有一定的好处;当风向角为90°时,等值线呈现一种完全均匀的横向梯度分布,在上表面迎风的前端位置以及悬挂网壳结构中部在风荷载作用下表现为压力,其余部分为吸力,与下表面的压力分布恰好相反,左右两侧中央部分受到风荷载作用影响效果最为明显;当风向角为180°时,此时顺风向风压分布呈现梯度变化趋势,左右两部分基本对称,结构的风压系数等值线分布在迎风前端较为集中,且在迎风面上风压系数达到峰值,故此处悬挂网壳结构受风荷载作用后压力效果最明显。

图 14 不同风向角下结构表面风压系数等值线
Fig.14 The isoline wind pressure coefficient on structure surface under different wind directions
从参考点处的风压系数曲线图中(图 15)可以发现:在三种不同风向角的风荷载作用下,有拱梁和无拱梁的悬挂网壳结构风压系数曲线变化趋势基本一致,有无拱梁的悬挂网壳结构上下表面风压分布趋势大致相同,说明拱梁的存在对于受到风荷载作用的悬挂网壳结构有影响,但影响效果不明显。对比风压系数曲线的数值,当拱梁存在的情况下,有拱梁的悬挂网壳结构和无拱梁的悬挂网壳结构在三种不同风向角风荷载的作用下,结构表面的风压系数在绝对值上都有小幅度的下降,表明拱梁的存在虽对于结构整体受到风荷载作用下的风压分布不能产生效果比较明显的增强或削弱,但可以对悬挂网壳结构表面受到风荷载后起到一定的遮挡作用,也可以使网壳结构的抗风能力得到小幅度的提高。故加入拱梁也能提高悬挂网壳结构的安全性。

图 15 不同风向角下两种结构的风压系数曲线
Fig.15 Wind pressure coefficient curves of two structures under different wind directions
03
04
结论
本文采用CFD数值模拟方法并结合SST k-ω瑞流模型对处于不同环境下的悬挂网壳结构进行风洞模拟,对悬挂网壳结构在周边建筑、围护结构、地势高低以及有无拱梁四个外界因素的影响下进行研究,得到以下结论:
(1)当周边建筑存在时,悬挂网壳结构自身受风荷载作用效果有一定的减弱。当建筑物与网壳结构沿风向夹角成锐角时,建筑物可以对风荷载起到遮挡效果,降低网壳表面风压,遮挡效果随着夹角的增大逐渐衰弱;当夹角成直角或钝角时,周边建筑对悬挂网壳结构的影响效果可以忽略不计;当建筑物处于网壳风向的正后端时,虽然也会对网壳风压有一定的减弱,但减弱效果不理想。
(2)网壳表面风荷载分布在悬挂网壳结构设置围护结构后产生了较大差异。封闭式悬挂网壳较开放式悬挂网壳存在更大的风压梯度,在一定程度上可以提高结构承风能力,但对于非规则网壳结构,在不同的风向角风荷载的作用下围护结构显示了不同的效果,特定风向角风载作用下局部区域可能出现较大负压,没有规律可循,因此在实际工程中,应根据具体结构进行分析。
(3)当网壳处于地势高低不同的平台之上时,表面风荷载的分布趋势大致相同,结构迎风面受到风压作用的影响最为剧烈。随着悬挂网壳结构所处地势高度的增加,其受到风压的影响程度有一定的增幅,10 m平台处结构承受的风压较平地处增大40%,地势高低带来风压的增加产生结构的扰动在设计时也要充分考虑。
(4)在悬挂结构中加入拱梁,结构表面风压分布趋势与无拱梁的悬挂结构基本一致,有拱梁的悬挂网壳结构风压系数值相对于无拱梁悬挂结构有一定的减小,拱梁的存在对悬挂网壳表面的风荷载起到了遮挡作用。
参考文献:
-
[1]霍林生,赵伟,陈超豪.下击暴流作用下单层球面网壳倒塌破坏研究[J].防灾减灾工程学报,2022,42(02):354-361+382.
-
[2]赵仕兴,杨姝姮,郭宇航,等.成都市锦城广场大跨度钢木组合屋盖结构分析与设计[J].空间结构,2021,27(04):62-70.
-
[3]舒赣平,潘睿,王四清,等.张家界马戏城主馆带悬挂子结构的弦支穹顶屋盖抗连续倒塌分析与评估[J].建筑结构, 2022,52(16):37-44.
-
[4] Qiu Ye,He Haiyun,Xu Chen,et al. Aerodynamic optimization design of single-layer spherical domes using kriging surrogate model[J]. Advances in Structural Engineering, 2021,24(10):2105.
-
[5] Lu Wei,Wang Junlin,Hua Guo,et al. Wind-induced dynamic collapse analysis of single-layer cylindrical reticulated shells considering roof slabs and support columns [J]. International Journal of Heat and Technology,2020,38 (1):180-186.
-
[6]田浦.台风风谱的研究[C]//第二届全国结构风效应学术会议论文集. 北京:中国土木工程学会,1988.
-
[7]石沅,陆威,钟严.上海地区台风结构特征研究[C]//第二届全国结构风效应学术会议论文集.北京:中国土木工程学会,1988.
-
[8] Architectural Institute of Japan. AIJ Recommendations for Loads on Building[S]. Tokoy:Architectural Institute of Japan,1996.
-
[9]中华人民共和国住房和城乡建设部.建筑结构荷载规范:GB 50009-2012 [S].北京:中国建筑工业出版社,2012.
-
[10]高富东,潘存云,蔡汶珊,等.基于CFD的螺旋桨敞水性能数值分析与验证[J]. 机械工程学报,2010,46(08):133-139.
-
[11]黄胜,王超,王诗洋.不同湍流模型在螺旋桨水动力性能计算中的应用与比较[J].哈尔滨工程大学学报,2009,30 (05):481-485.
-
[12]殷志祥,侯立阳.台风作用下悬挂网壳风荷载特性的数值模拟研究[J].工业建筑,2015,45(06):133-136+164.
-
[13]吴春鹏.非平稳非高斯风荷载的数值模拟[D].南昌:华东交通大学,2016.
-
[14] Richards P J,Hoxey R P,Short L J. Wind pressures on a 6 m cube[J]. Journal of Wind Engineering and Industrial Aerodynamics,2001,89(14/15):1553-1564.
-
[15] Norbert Hölscher,Hans-Jürgen Niemann. Towards quality assurance for wind tunnel tests:A comparative testing program of the Windechnologische Gesellschaft[J]. Journal of Wind Engineering and Industrial Aerodynamics,1998 (74/76):599-608.
-
[16]姚志东.基于数值模拟方法的大跨度结构表面风荷载的计算与分析[D].北京:北京交通大学,2008.
魏晓刚,法靖宇,杨柳川,等.悬挂网壳结构风压分布的环境影响因素研究[J].华南地震,2023,(01):1-13.
WEI Xiaogang,FA Jingyu,YANG Liuchuan,et al.Study on Environmental Factors Affecting Wind Pressure Distribution of Suspended Reticulated Shell Structure[J].,2023,(01):1-13.
DOI:10.13512/j.hndz.2023.01.01
基金项目:基金项目:国家自然科学基金资助(41902266);中原科技创新领军人才项目(194200510015);河南省高校青年骨干教师培养计划(2021GGJS116);河南省高校实验室工作研究会研究项目计划支持(ULAHN202108);河南省科技攻关项目(202102300964,202102310256,232102320052,232102240027);河南省高等学校重点科研项目(23A440002);教育部产学合作协同育人项目(202102600007)。
作者简介:魏晓刚(1984-),男,博士,副教授,研究方向:建筑结构抗震与防灾。E-mail:zzxmwxg@163.com
通信作者:李广慧(1970-),男,博士,二级教授,研究方向:工程结构抗震与防灾。E-mail:zzulgh@163.com
文章来源:华南地震