5.1 欧拉模型概述
ANSYS Fluent中的欧拉多相模型允许对多个独立但相互作用的相进行建模。这些相可以是几乎任何组合的液体,气体或固体。与用于离散相模型的欧拉-拉格朗日处理相反,每个阶段都使用欧拉处理。
使用欧拉多相模型,次要相的数量仅受内存需求和收敛行为的限制。只要有足够的存储空间,就可以对任意数量的次级阶段进行建模。但是,对于复杂的多相流,您可能会发现解决方案受到收敛行为的限制。有关多阶段建模策略,请参见《用户指南》中的欧拉模型。
ANSYS Fluent的欧拉多相模型无法区分流体-流体流和流体-固体(颗粒)多相流。颗粒流仅仅是涉及至少一个已被指定为颗粒相的相的流。
ANSYS Fluent解决方案基于以下内容:
①所有阶段均共享一个压力。
②求解每个阶段的动量和连续性方程。
③以下参数可用于颗粒相:
可以为每个固相计算颗粒温度(固体波动能量)。您可以选择代数公式,常数,用户定义的函数或偏微分方程。
固相剪切和体积粘度是通过将动力学理论应用于颗粒流而获得的。也可提供用于模拟颗粒流动的摩擦粘度。您可以为所有属性选择适当的模型和用户定义的功能。
④有几个相间阻力系数函数可用,适用于各种类型的多相状态。(您也可以按照Fluent自定义手册中的说明,通过用户定义的函数来修改相间阻力系数。)所有k-ε和k-ω湍流模型均可用,并且可能适用于所有相或混合物。
5.2 欧拉模型的局限性
除以下限制外,ANSYS Fluent中可用的所有其他功能均可与欧拉多相模型一起使用:
①没有基于每个阶段的雷诺应力湍流模型。
②粒子跟踪(使用拉格朗日分散相模型)仅与主相相互作用。
③使用欧拉模型时,无法对具有指定质量流率的沿河周期性流量进行建模(允许您指定压降)。
④不允许无粘性流动。
⑤不允许熔化和固化。
⑥并行跟踪粒子时,如果启用了共享内存选项(《用户指南》中的“离散相模型”的并行处理),则DPM模型不能与欧拉多相模型一起使用。(请注意,在并行运行时,使用消息传递选项可以使所有多相流模型与DPM模型兼容。)
要从单相模型更改为多相模型,您将需要执行一系列步骤。您将必须先设置混合溶液,然后再设置多相溶液。但是,由于多相问题是紧密联系在一起的,因此最好开始使用初始的一组保守的参数(时间和空间的一阶)直接解决多相问题。这当然取决于问题。除其他事项外,修改包括引入多个相的体积分数α1,α2……,以及在相之间交换动量,热和质量的机制。
5.3 体积分数方程
多相流互穿连续体的描述结合了相体积分数的概念,此处用表示。体积分数代表每个相所占据的空间,并且每个相分别满足质量守恒定律。守恒方程的推导可以通过对每个相位的局部瞬时平衡进行平均[6]或使用混合理论方法[42]来完成。
相的体积定义为Vq


相的有效密度为:

可以通过隐式或显式时间离散化求解体积分数方程。有关这两种VOF方案的详细信息,请参阅“隐式公式”和“显式公式”。
5.4 守恒方程(质量、动量、能量后面叙述)
5.5 界面浓度Interfacial Area Concentration
界面面积浓度定义为每单位混合物体积两相之间的界面面积。这是预测通过相之间界面的质量,动量和能量转移的重要参数。当将Eulerian多相模型与非颗粒第二相一起使用时,可以让ANSYS Fluent通过以下两种方法之一来计算界面面积:
①使用界面区域浓度中所述的输运方程式。这允许气泡直径的分布和聚结/破裂效应。
②在指定的气泡直径和界面区域浓度之间使用代数关系。
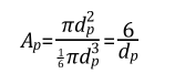
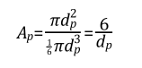
代数界面面积模型是从球形气泡或液滴的表面积与体积之比得出的:

气泡或液滴直径为dp,使用欧拉多相模型时可用的代数模型是(后期是沸腾模拟,所以只介绍沸腾的):
①:Ishii Model(仅沸腾流动):仅在激活沸腾模型时才可用的Ishii模型也会修改粒子模型,并导致αp的分段线性函数,当αp接近1时,α的分段线性函数接近0。

在Fluent中,αprict选择为0.25。
②:用户定义的(仅沸腾流)请参见Fluent自定义手册中的DEFINE_EXCHANGE_PROPERT
③Particle Model
对于体积分数为αp的分散相p,粒子模型估计界面面积浓度,如下


5.6 相间交换系数 Interphase Exchange Coefficients
①这里沸腾用的是 Ishii模型

下图是fluent界面:

常见的其他模型还有:

5.7 提升力Lift Force
对于多相流,ANSYS Fluent可以包括升力对次级相颗粒,液滴或气泡的影响。这些升力主要是由于初级相流场中的速度梯度作用在粒子上。对于较大的颗粒,升力将更为显着,但是ANSYS Fluent模型假设颗粒直径远小于颗粒间的间距。因此,包含升力不适用于紧密堆积的颗粒或非常小的颗粒。

升力系数模型Fluent在公式17–254中提供了多种升力系数模型。以下各节将介绍这些模型。
①Moraga升力模型
②Saffman-Mei升力模型
③Legendre-Magnaudet升力模型
④Tomiyama升力模型
⑤或者,您可以为升力系数(DEFINE_EXCHANGE_PROPERTY)指定常数或用户定义的函数。有关如何在模拟中包括升力的详细信息,请参考《 Fluent用户指南》中的“包括升力”。
本文沸腾用的是Tomiyama升力模型
Tomiyama适用于椭圆形和球形帽形结构中较大规模的可变形气泡的升力。与Tomiyama和wall lubrication模型一样,该模型取决于Eötvös数。它的主要特征是预测气泡大小的交点,在该交点处,颗粒变形会引起升力符号的反转。在Fluent中实现的模型是Frank等人在原始Tomiyama lift model(1998)[460]的基础上进行的轻微修改。(2004)[132]:
