笔者之前发过一篇文章:

讨论了振动台扫频试验等效于ansys的谐响应分析,遭到了同行的质疑。这引起了笔者的注意。

笔者回想,之所以敢发这篇文章,也是因为多次看到书本上这么仿真地震。地震和振动台问题都属于支座移动。笔者一直认为该方法适用于支座移动。
但今天笔者要是说,别人这么做,所以我这么做是对的,没有十足的说服力(因为编书的人可能还不够权威,就算是权威,大家也可以挑战权威)。所以笔者要在理论上证明这种方法可行。当然这并不表示其它方法不可以。
推导一:单自由度系统,支座简谐位移运动(已知位移函数):

根据达朗贝尔原理,建立运动微分方程:
对式(1)进行变形,可得: 
由此看出:支座的简谐位移运动等效于:固定支座,然后在质量块上施加相应的荷载(该荷载取决于支座运动形式)
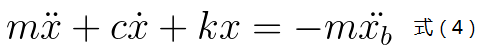
推导二:单自由度系统,支座简谐加速度运动(已知加速度函数):


根据达朗贝尔原理,建立运动微分方程:

对式(3)进行变形,可得:

由此看出:支座的简谐加速度运动等效于:固定支座,然后在质量块上施加相应的加速度。这里面有两点需要注意:01施加在质量块上的加速度是反方向的;02 求得质量块的运动是相对于支座的,是相对运动,不是绝对运动。
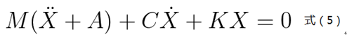
推导三:多自由度系统,基础任意加速度运动:

根据达朗贝尔原理,建立运动微分方程: 
对式(5)进行变形,可得: 
由此看出:基础的任意加速度运动等效于:固定支座,然后在结构上施加相应的加速度。这里面有两点需要注意:01施加在结构上的加速度是反方向的;02 求得结构的运动是相对于基础的,是相对运动,不是绝对运动。其实这样更加方便应力和应变的求解,因为基础运动引起结构的应力应变大小是由基础和结构的相对运动关系决定的。
结论:以上三个推导完全可以表明:振动台试验在基础输入加速度激励的过程,在仿真中,完全可以用固定结构基础,对整个结构施加同样的加速度激励,当然理论上加速度必须反相,但对于谐响应分析单个激励来说,相位是不重要的。还有一点需要强调,该仿真方法求得结构的加速度,速度以及位移是结构相对于基础的,是相对运动,不是绝对运动。如果试验人员用实测的结构加速度响应(绝对加速度)和仿真的结构加速度进行对比,不要遗忘在仿真值的基础上加上原加速度激励。但更重要的是,考察结构的强度和变形,只取决于结构相对基础的运动,而不是结构的绝对运动。