当前位置:服务支持 >  软件文章 >  ABAQUS流固耦合模拟分析可靠性探讨

ABAQUS流固耦合模拟分析可靠性探讨

阅读数 16
点赞 0
article_banner

随着有限元技术的发展和用户要求的提高,各大有限元软件都含有流固耦合模块,其主要用于液体、理想气体和JWL 的模拟,本文着重介绍ABAQUS 中理想气体状态方程的功能和应用。

为了验证ABAQUS 理想气体状态方程模拟气体压缩的正确性,首先利用其模拟简单的气体压缩过程,并获得该过程中气体的状态变化曲线(仿真曲线);然后通过Matlab 求解该模型理论上的气体状态方程,并获得数值解(理论曲线)。将仿真曲线和理论曲线进行对比,发现二者非常吻合,证明了ABAQUS 模拟理想气体状态的可信性。在此基础上,将其用在某产品上的流固耦合分析。

1、理想气体方程的参数含义在ABAQUS 有限元分析软件中,气体压缩方程为:

其中:Δp:气体压强的增量,初始增量为零,ODB文件输出的压强 pD

Pa:初始的气体压强,标准大气压为Pa a p 5 1.01310 ´

ρ:气体密度,这里设为r3 1.17/ kg m

R:气体常数,这里为287 R

θ:气体温度,初始温度设为20℃,ODB 文件输出的温度 q

θz:绝对温度的零值,这里为-273℃ z q

在分析时,需要在定义系统的绝对零度值,如图1 所示

2、ABAQUS仿真建立

如图2所示的装配图,气体在一个封闭的环境内受到活塞的压缩。假设整个过程没有任何能量的损失,及活塞气体和活塞之间没有热传递,且活塞以一定的速度向前运动。

在设置模型过程中,活塞和气体之间的接触通过inp文件的关键字实现,经过实践证明,这样的定义方式可以有效避免气体的泄露。其定义过程为:*******************为气体分配材料属性***********************Initial Conditions, type=VOLUME FRACTIONSet-inner-gas, gas-1.gas-inner, 1.******************定义气体的欧拉接触面*********************Surface, type=EULERIAN MATERIAL, name=inner-gassurfacegas-1.gas-inner******************定义活塞和气体之间的接触*******************Contact Inclusionsinner-gassurface,Surf-contact-huosai***************************************************通过仿真计算后,在压缩结束时刻,气体的压强和温度如图3和图4所示。

3、理论计算

上节模拟的气体压缩过程是一个“等熵过程”它的气体状态参数关系为:

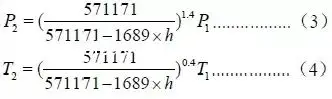
其中k 为等熵指数,这里取k=1.4,T 为绝对温度k。如图2 所示,气体在初始状下体积 V=571171mm3,,活塞投影面S=1698mm²,,代入式(2)后气体压缩理论方程为

4、结果对比采集967 号节点的压强和温度,并绘制曲线(仿真曲线)。结合式(3)、(4)、(5)、(6),利用 Matlab 软件绘制出压强增量Δp和气体温度θ与h之间的曲线(理论曲线)。将ABAQUS 的仿真结果和理论计算结果进行对比,二者变化曲线如图5 和图6 所示。

图5 和图6 中蓝线表示的是用气体状态方程计算的气体参数曲线,红线表示的是ABAQUS 有限元软件仿真模拟的参数曲线,从图可以看出,两条曲线基本是重合的,因此ABAQUS 有限元软件在模拟理想气体状态方面具有非常大的可靠性。

5、流固耦合的应用

某产品的结构如图7 所示,它有筒体、活塞头和筒盖组成,筒内密封有空气。筒盖的材料是一种脆性塑料,筒体和活塞头认为是刚体。当活塞头压缩前面的空气并达到一定的气压时,筒盖就会破裂。利用ABAQUS的流固耦合模块,计算出活塞头移动多少距离时,筒盖会破损。

脆性材料采用Brittle Cracking的失效准则,模拟出筒盖破损的状态如图8所示。

6、结论通过计算比较,ABAQUS有限元软件在模拟理想气体状态方程上,有着很高的可信度,它的模拟结果和理论上的状态方程基本重合。因此在实际操作中,结合材料的变形和失效,它可以模拟多种情况下的流固耦合问题。但是,在流固耦合分析中,应尽量细化网格,否则不能真实的模拟由于边界的变形而导致气体形状的改变。

相关文章
QR Code
微信扫一扫,欢迎咨询~

联系我们
武汉格发信息技术有限公司
湖北省武汉市经开区科技园西路6号103孵化器
电话:155-2731-8020 座机:027-59821821
邮件:tanzw@gofarlic.com
Copyright © 2023 Gofarsoft Co.,Ltd. 保留所有权利
遇到许可问题?该如何解决!?
评估许可证实际采购量? 
不清楚软件许可证使用数据? 
收到软件厂商律师函!?  
想要少购买点许可证,节省费用? 
收到软件厂商侵权通告!?  
有正版license,但许可证不够用,需要新购? 
联系方式 155-2731-8020
预留信息,一起解决您的问题
* 姓名:
* 手机:

* 公司名称:

姓名不为空

手机不正确

公司不为空