高压导线作为新能源汽车高压线束的核心零部件,其选型是否正确显得十分关键。一般主要参考一些重要信息:客户标准、实际应用和特殊要求等,从而选择安全合适的高压导线。

一、线径选型
高压导线的线径选型设计主要参考如下因素:
▶导线设计标准,比如LV216-1/2,ISO19642等
▶导线工作电压平台以及电压范围;
▶回路有效工作电流;
▶高压导线工作环境温度;
▶回路峰值电流以及峰值持续时间;
▶回路保险容量;
▶高压线束插件允许压接线径。
高压导线选型基本步骤如下:
1.校核高压导线工作电压平台,目前一般电压平台在1000V DC以下,因此多选用耐1000V DC的高压导线;
2.根据导线载流量和工作环境温度结合的温升曲线,选择导线线径;
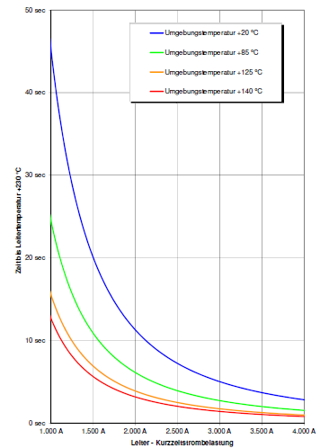
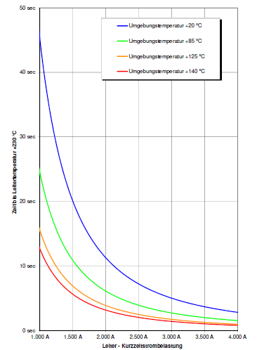
3.对比峰值电流、峰值持续时间和导线冒烟曲线(见图4-3),峰值持续时间小于导线冒烟时间;
4.对比保险熔断时间和导线冒烟时间,导线冒烟时间大于保险熔断时间;
5.经过以上步骤初步确定导线线径,再结合高压插件型号以及规格书,确认导线是否能够应用,尤其是需要校核导线两侧的高压插件需要同时满足其要求。

图1:35平方的硅胶线在流温升和冒烟曲线
二、材质选型
1.硅胶导线
▶硅胶导线质地柔软,耐温性能好,但是耐撕裂耐油液性能差,在以下环境下建议采用硅胶导线:
▶工作环境温度大于150℃的区域;
▶线束布置空间小,完全半径不满足5D的区域,或者由于装配需求对线束柔软度要求严格的区域。
▶高压线束防护较好,无油液无磨损的区域;
▶高压插件有明确的使用要求。
2. 交联聚烯烃导线
交联聚烯烃导线材质较硬,耐磨耐撕裂性能好,成本较低,但是柔软度差,耐温性能差,需要在以下环境使用:
▶工作环境温度不大于150℃;
▶线束布置空间大,完全半径≮5D,或者线束装配无困难;
▶线束有油液接触可能,或磨损振动幅度较大;
▶高压插件有明确使用要求。
3.其他导线
如果对导线有阻燃要求,可以选择HB或V0等级导线;
如果对导线屏蔽有要求,可以选择无屏蔽导线、单层屏蔽导线,双层屏蔽导线,对导线的屏蔽编制密度可以根据屏蔽需求进行定义,一般屏蔽密度在85%以上。
