空心板梁几何尺寸见图 4.1.1 至图 4.1.3。

图 4.1.1 横截面布置图(cm)

图 4.1.2 边板截面(cm)

图 4.1.3 中板截面(cm)
(1) 结构形式:装配式先张法预应力混凝土简支空心板梁
(2) 计算跨径:16m
(3) 斜交角度:0 度
(4) 汽车荷载:公路-Ⅱ级
(5) 结构重要性系数:1.0
(1) 执行《公路桥涵设计通用规范》(JTG D60-2015)和《公路钢筋混凝土及预应力混凝土桥涵设计规范》(JTG D62-2012)。
(2) 6 厘米厚现浇 C50 混凝土不参与结构受力,仅作为恒载施加。
(3) 温度效应,均匀温升降均按 20 摄氏度考虑;温度梯度按《公路桥涵设计通用规范》规定取值。
(4) 按 A 类部分预应力混凝土构件设计。
(5) 边界条件:圆形板式橡胶支座约束用弹性支承进行模拟,弹簧系数SDx=SDy=1890 KN/m;SDz=9.212E+05KN/m;SRx=078E+09KN.m/rad;
(1) 空心板选用 C50 混凝土
(2) 预应力钢绞线公称直径
,1 根钢绞线截面积
,抗拉强度标准值
,锚具变形总变形值为 12mm。横截面预应力筋和普通钢筋布置见图
4.4.1 和图 4.4.2。预应力筋有效长度见表 4.4.1。

图 4.4.1 边板钢筋钢绞线布置图(cm)

图 4.4.2 中板钢筋钢绞线布置图(cm)
图中 N9 筋(实心黑点)为普通钢筋,其余为钢绞线。
表 4.4.1 16 米空心板预应力筋有效长度表

注:表中构造有效长度指施工设计图中预应力筋的有效长度。计算有效长度指考虑预应力传递长度影响后结构分析采用的预应力筋有效长度;计算有效长度=构造有效长度-预应力传递长度。
空心板梁施工阶段共划分为 5 个,各阶段工作内容见表 4.5.1。
表 4.5.1 空心板梁施工阶段划分说明

(1) 定义材料与截面
定义材料可通过路径:【模型】/【截面和材料特性】/【材料】来实现,见图 4.6.1和图 4.6.2。其中,C50(不计重量)用于横向联系单元。

图 4.6.1

图 4.6.2
中边板截面,用 AutoCAD 绘制生成后缀为 dxf 的文件,通过路径:【工具】/【截面特性计算器】来生成 midas 截面文件,再通过路径:【模型】/【截面和材料特性】/【截面】/【PSC】/PSC-数值来实现,见图 4.6.3

图 4.6.3
(2) 定义荷载类型定义荷载类型可通过路径:【荷载】/【静力荷载工况】来实现,见图4.6.4。

图 4.6.4
(3)定义结构组
定义结构组前,检查所建模型是否正确,按【消隐】按钮显示结构外形,见图 4.6.5定义结构组可通过路径:【模型】/【组】【定义结构组】来实现,见图 4.6.6。将结构定义为主梁 1~主梁 10 和横向联系共 11 个结构组,并用 midas 拖移功能指定给所建模型。

图 4.6.5

图 4.6.6
(4)定义荷载组
定义荷载组可通过路径:【模型】/【组】【定义结构组】来实现。定义自重、均布荷载和预应力 3 个荷载组。
(5)定义边界组
定义边界组可通过路径:【模型】/【组】【定义边界组】来实现,见图 4.6.7。定义支座和横向联系铰 2 个边界组。

图 4.6.7
(6) 预应力钢筋描述
预应力钢筋描述通过路径:【荷载】/【预应力荷载】输入钢束特性值、钢束布置形状和钢束预应力荷载 3 部分内容的数据来实现,见图 4.6.8。尤其需要注意,在钢束预应力荷载窗体输入的张拉端应力值应为锚下张拉控制应力扣除台座工作锚具变形、预应力钢筋回缩及分批放张预应力钢筋引其的应力损失值。在实例中,考虑上述因素的预应力损失值为48.5Mpa,锚下张拉控制应力
,
因此,输入的张拉端应力值=1348.5-48.5=1300Mpa。

图 4.6.8
(7)支座和横向联系铰缝的模拟
梁与支座的连接通过路径:【模型】/【边界条件】/【弹性连接】中的刚性连接类型来实现;支座的模拟通过路径:【模型】/【边界条件】/【节点弹性支承】,输入弹簧系数来实现。
横向联系铰缝的模拟通过路径:【模型】/【边界条件】/【释放梁端部约束】来实现,选择铰-刚连接,并输入
和
。见图 4.6.9 和图 4.6.10。

图 4.6.9

图 4.6.10
(8)荷载施加及各施工阶段描述
自重指描述的结构组重量。自重通过路径:【荷载】/【自重】进行施加。Midas 中混凝土容重默认值为
,板梁 C50 混凝土的容重
,输入的竖向(Z 方向)自重系数应为-26/25=-1.04。
恒载包括桥面铺装 C50 混凝土 、沥青混凝土和钢筋混凝土防撞护墙,均定义为均布荷载,通过路径:【荷载】/【梁单元荷载】进行施加。其中,每块中板承担 Z 方向的均布荷载
;每块边板承担 Z 方向的均布荷载
,X 方向的均布扭矩
,均布扭矩=防撞护墙均布集度乘以防撞护墙重心距边板偏心距。
温升温降荷载,通过路径:【荷载】/【温度荷载】/【系统温度】进行施加。正负温差荷载,通过路径:【荷载】/【温度荷载】/【梁截面温度】进行施加。
各施工阶段描述通过路径:【荷载】/【施工阶段分析数据】/【定义施工阶段】来实现。按拟定的各施工阶段工作内容,分别施加已定义的结构组、边界组、荷载组进行描述。见图4.6.11

图 4.6.11
(9)定义汽车荷载
定义汽车荷载通过路径:【荷载】/【移动荷载分析数据】输入移动荷载规范、车道、车辆、移动荷载工况 4 部分内容的数据实现,见图 4.6.12

图 4.6.12
其中,定义车道时,车道 1:选择横向联系梁、横向连接组、车辆移动方向往返、斜交角始终点均为 0、以主梁 2 为基准偏心距 0.1 米、桥梁跨度 16 米,用鼠标通过两点指定车道 1,见图 4.6.13;

图 4.6.13
车道 2:选择车道单元、辆移动方向往返、以主梁 5 为基准偏心距 0 米、桥梁跨度 16 米,用鼠标通过两点指定车道 2,见图 4.6.14

图 4.6.14
(10)结构分析控制
路径:【分析】/【主控数据】选择相关项见图 4.6.15

图 4.6.15
路径:【分析】/【移动荷载分析控制数据】选择相关项见图 4.6.16

图 4.6.16
路径:【分析】/【施工阶段分析控制数据】选择相关项见图 4.6.17

图 4.6.17
(11)运行
按 F5 键执行计算
(1)方法一
铰接板梁法。采用平面杆系有限元程序进行单梁计算时,考虑汽车荷载空间效应影响,应计入汽车荷载横向分布系数。采用 Doctor.bridge(桥梁博士)软件内置工具可以计算出汽车荷载横向分布系数。本例中,2 个车道活载作用下边、中板跨中截面汽车荷载横向分布系数分别为:

(2) 方法二
midas 空间梁格直接定义车道荷载法。本例中,边界条件和板横向连接如前所述,定义了 2 个车道荷载,计算结束后可通过路径:【结果】/【分析结果表格】/【位移】查得 2个车道荷载作用下各板梁跨中截面挠度 Dz 值,见图 4.7.1 和表 4.7.1。
表 4.7.1 2 个车道荷载作用下各板梁跨中截面挠度 Dz 值(mm)


图 4.7.1
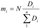
汽车荷载横向分布系数可按公式(4.7.1)计算

式中:
-汽车荷载横向分布系数
N -车道数
-第 i 号板跨中截面 挠度值
1 号边板和 2 号中板跨中截面汽车荷载横向分布系数分别为:

(3) 方法三
空间梁格施加单位力法。本例中,分别在各板跨中截面施加 P=1000 KN,方向朝下的单位力。 如图 4.7.2 所示,计算出 P=1000 KN 分别作用于各板跨中截面时各板跨中截面挠
度值。按公式(4.7.2)计算横桥向各板位置处的影响线坐标。

图 4.7.2

式中:
-横桥向各板位置处的影响线坐标值。
-单位力
作用于第i号板梁跨中截面引起的第j号板梁该截面位置处的挠度值。
1 号边板和 2 号中板影响线坐标计算结果见表 4.7.2
表 4.7.2 1 号边板和 2 号中板影响线坐标计算表

根据表中
值点绘出1号边板和2号中板影响线,并按规范要求布置车辆荷载,见图4.7.3和图 4.7.4

图 4.7.3 1 号边板荷载横向分布影响线

图 4.7.4 2 号中板荷载横向分布影响线
1 号边板汽车荷载横向分布系数为

2 号中板汽车荷载横向分布系数为

将三种方法的计算结果汇于表 4.7.3
表 4.7.3 汽车荷载横向分布系数不同计算方法计算结果比较表

三种方法的计算结果比较接近,在实际工程中可采用上述三种方法之一计算汽车荷载横向分布系数,然后按平面单梁格进行计算。
(1)单梁格计算说明
仅对边板弯矩计算结果进行比较。施加荷载和支座边界条件同前述空间多梁格模型,采用方法一得到的边板汽车荷载横向分布系数
,进行单梁格计算。单梁结构图和离散图见图 4.8.1 和图 4.8.2。

图 4.8.1 单梁结构图

图 4.8.2 单梁离散图
(2)单梁格内力主要计算结果
单梁格恒载弯矩、施工阶段末钢束一次弯矩和汽车荷载弯矩图见图 4.8.3 至图4.8.5。
(3)空间多梁格内力主要计算结果
空间多单梁格恒载弯矩、施工阶段末钢束一次弯矩和汽车荷载弯矩图见图 4.8.6 至图4.8.8。

图 4.8.3 单梁格恒载弯矩图

图 4.8.4 单梁格施工阶段末钢束一次弯矩图

图 4.8.5 单梁格汽车荷载弯矩图

图 4.8.6 空间多梁格恒载弯矩图

图 4.8.7 空间多梁格施工阶段末钢束一次弯矩图

图 4.8.8 空间多梁格汽车荷载弯矩图
(3)空间梁格与平面单梁格计算结果比较
由图 4.8.1 至图 4.8.8 知,空间梁格与平面单梁格弯矩计算结果比较接近。
荷载组合通过路径:【结果】/【荷载组合】/【混凝土设计】/【自动生成】来实现,见图 4.9.1 和图 4.9.2

图 4.9.1

图 4.9.2
通过路径:【结果】/【分析结果表格】/【位移】可查的施工各阶段中边板跨中截面挠度上拱值。见表 4.10
表 4.10 施工各阶段上拱值(mm)

通过路径:【结果】/【反力】/【查看反力】可查的荷载标准值作用下第 36 号组合中边板支点组合反力值,见图4.11。由图4.11知:边、中板支点反力最大值分别为306KN和367KN。

图 4.11
其他计算结果可通过路径:【结果】的表格数据或图形显示查询。
来源:筑龙论坛